According to 1 2, the third Kolmogorov axiom is
for disjoint sets $(A_n)_{n \in \mathbb{N}}$
$P(\cup_n A_n) = \sum_n P(A_n)$
Is that really disjoint rather than pairwise disjoint?
If we have events $A, B, C$ s.t.
$A \cap B = \emptyset$
$A \cap C = \emptyset$
$B \cap C \neq \emptyset$
$P(B \cap C) > 0$,
then A, B and C are disjoint but not pairwise disjoint...I think? (*)
I don't think it follows that $P(A \cup B \cup C) = P(A) + P(B) + P(C)$.
I think $P(A \cup B \cup C) = P(A) + P(B) + P(C \setminus B)$ ?
(*) From what I remember in advanced probability class:
$\{A_n\}_n$'s are disjoint if $\cap_n A_n = \emptyset$
$\{A_n\}_n$'s are pairwise disjoint if $A_i \cap A_j = \emptyset$ for distinct indices i,j
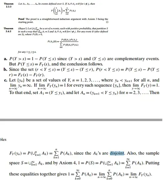
From Larsen and Marx (book used in my elementary probability class):
I find this strange. If 'disjoint' and 'pairwise disjoint' are equivalent (ie disjoint does not mean what I said above), why even say that $A_i \cap A_j = \emptyset$ for distinct indices i,j? Why not just say disjoint?
On the other hand, disjointness is used to justify the $P(\cup_n A_n) = \sum_n P(A_n)$ statements later on. Seems kind of inconsistent.
