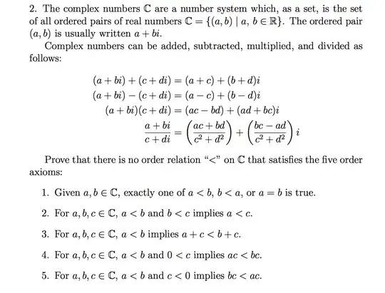
I have no idea where to start this question.
Asked
Active
Viewed 449 times
-1
Lenol
- 558
-
1Often, the starting point for proving "no such things with properties ... exists" is assuming that it does and proving that it leads to a contradiction. – taninamdar Sep 15 '15 at 03:02
-
I hope you are familiar with the use of MathJax and $\LaTeX$ on this site. A brief introduction links to the more detailed home-grown tutorial. Just posting the image of an assignment with asservation "I have no idea.." may give your Readers the impression you have limited interest in solving the problem yourself. – hardmath Sep 15 '15 at 03:05
1 Answers
1
Hint: Supposing that such an order exists, try to decide whether $i < 0$ or $i > 0$.
Ben Grossmann
- 234,171
- 12
- 184
- 355
