1

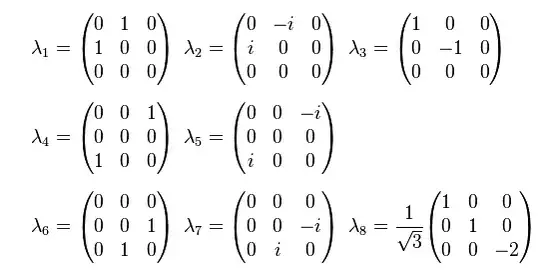
With the matrices below, apparently $\{u_k = -\frac i2 \lambda_k| k=1,2,\cdots,8\}$ forms a basis of $\mathfrak{su}(3)$

enter image description here

How could that be true? $-\frac i2 \lambda_1$ shouldn't even be an element of $\mathfrak{su}(3)$, it isn't hermitian.

  • 1
    Why are you adding a factor $-\frac{i}{2}$ everywhere? That seems odd. – Tobias Kildetoft Aug 18 '15 at 09:21
  • @DietrichBurde How could it? A Lie algebra is in particular a vector space, so scalars will not change whether some matrix is in the Lie algebra. – Tobias Kildetoft Aug 18 '15 at 09:24
  • @DietrichBurde Can I just have your clarification on what they would likely mean for a basis of $\mathfrak{su}(3)$? I originally assumed it was a vectorspace basis, but it seems to be something else then? – So many hats Aug 18 '15 at 09:28
  • The matrices $u_i=-i/2\lambda_i$ do satisfy $x^{\ast}=-x$, so everything is OK. – Dietrich Burde Aug 18 '15 at 09:55
  • @DietrichBurde But while these basis elements do satisfy that condition, not all the elements do, as the condition is not preserved by linear combinations, so the description mentioned is not the correct one. – Tobias Kildetoft Aug 18 '15 at 09:58
  • @TobiasKildetoft Isn't multiplying by $i$ (or by $-i/2)$ a linear isomorphism from Hermitian matrices to anti-Hermitian matrices ? – Dietrich Burde Aug 18 '15 at 11:23
  • @DietrichBurde Since neither class of matrices form a vector space, I am not sure what you mean by a linear isomorphism. Or are we taking things as real vector spaces here? – Tobias Kildetoft Aug 18 '15 at 11:34
  • Well they did all satisfy anti-hermitian, which was what was required(I originally thought hermitian was the requirement for $\mathfrak{u}$) – So many hats Aug 18 '15 at 11:37
  • @TobiasKildetoft Yes, exactly, as a real vector space. $SU(n)$ is a real Lie group with Lie algebra $\mathfrak{su}(n)$. – Dietrich Burde Aug 18 '15 at 11:45

1 Answers1

2

The problem is explained here as follows: the $8$-dimensional real Lie algebra $\mathfrak{su}(3)$ has a basis $\lambda_1,\ldots ,\lambda_8$ as above, consisiting of Hermitian matrices. However, the Lie bracket of this subspace of $3\times 3$ matrices is not given by the commutator $AB-BA$, because the commutator of two Hermitian matrices is not Hermitian again in general. Of course, we could insist on a different Lie bracket given by $[A,B]=i(AB-BA)$. However, a more popular solution is to pass to anti-Hermitian matrices, which gives an isomorphic Lie algebra, but this time with the more natural Lie bracket $[A,B]=AB-BA$. For a similar discussion on MSE, see here.

Dietrich Burde
  • 140,055