If a continuous function between locally compact Hausdorff spaces is proper (i.e. preimages of compact sets are compact), then it is also closed. How to prove it?
Asked
Active
Viewed 1,886 times
1 Answers
2
A much more general theorem holds.




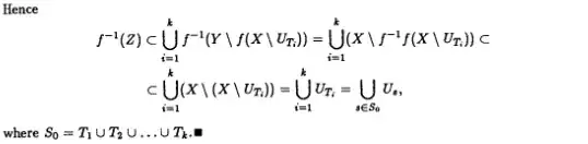
(cited from “General Topology” by Ryszard Engelking. )
Alex Ravsky
- 106,166