0

I have this part:

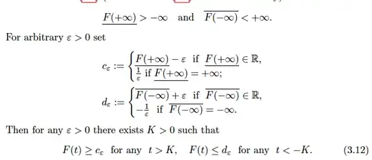
enter image description here

Where $$\underline{F(+\infty)}=\liminf_{x\rightarrow +\infty} F(x), \overline{F(-\infty)}=\limsup_{x\rightarrow-\infty} F(x)$$

My question is: How does property $(3.12)$ follow from the given information?

Thank you in advance.

Vrouvrou
  • 5,233
  • I don't think your question is clear. The author chose to define $c_\epsilon$ and $d_\epsilon$ in order to make an interesting mathematical point. What is your question about property 3.12? Your wording isn't clear. – jdods Mar 09 '15 at 13:54
  • I don't understand why we have (3.12) – Vrouvrou Mar 09 '15 at 13:56
  • If you like, you could edit your question to state: "How does property 3.12 follow from the given information?" – jdods Mar 09 '15 at 14:00
  • 1
    Important question is what is your definition of $\limsup$. (Maybe you could include your definition in the post.) There are several equivalent definitions of limit superior. The one mentioned here might be what you need. This post and this post also compare two definitions of limit superior. – Martin Sleziak Mar 09 '15 at 14:27
  • but this is the definition for a sequence not for a function ! – Vrouvrou Mar 09 '15 at 15:10
  • @Vrouvrou You are right. But I think from those definitions for sequences you can easily obtain corresponding definition for functions. This still does not change the fact, that you did not tell us what definition are you using. (One of the equivalent definitions is more-or-less the same thing as what the excerpt in your post says.) Probably you could find also some posts discussing definition of limsup for real functions, like this one. – Martin Sleziak Mar 10 '15 at 07:25
  • If your definition of limit superior is $\liminf_{x\rightarrow+\infty} F(x)=\lim_{x\rightarrow +\infty} (\inf_{y\geq x} F(y))$ (this is what you mentioned in a comment below), you should probably include this definition in your post. – Martin Sleziak Mar 10 '15 at 07:33

1 Answers1

1

Hint: If for some $\epsilon>0$ and for any $K>0$, $F(t)<c_\epsilon$ for some $t>K$, how could the $\liminf$ be larger than $c_\epsilon$?


More details:

Assume $\liminf_{x\rightarrow\infty} F(x)=\infty$ and there exists $\epsilon$ such that for any $K>0$, $F(t)<1/\epsilon=c_\epsilon$ for some $t>K$.

This means that no matter how far out you look towards positive infinity, there will always be an $x$ value such that $F(x)<1/\epsilon$, which is finite. Therefore, the limit infemum cannot possibly be infinite as there is always a larger $x$ value which gives a function output lower than $1/\epsilon$.

Similar arguments will work in the remaining 3 cases.


When you have trouble understanding the mathematics, especially complicated notation like this problem, it's a good idea to look at a more concrete example.

Let $F(x)=x$, so that $\liminf_{x\rightarrow+\infty} F(x)=+\infty$. Now fix $\epsilon$, say $\epsilon=1/10$. Therefore $c_\epsilon=2$. Now we can let $K$ be any number larger than $10$, thus for any $x>K$, $F(x)>c_\epsilon$.

Try to find the opposite of property 3.12 here. Can you find an $\epsilon$ such that $F(x)$ will always be smaller than $1/\epsilon$ if it is diverging to infinity?

jdods
  • 6,632
  • I don't understand you – Vrouvrou Mar 09 '15 at 14:06
  • I've "negated" property 3.12. The definition of $\liminf$ requires the function to "go above" $\liminf$ eventually. $c_\epsilon$ is either an arbitrarily large number (if the $\liminf$ is infinity) or a number arbitrarily close, but below the $\liminf$ if it is finite. – jdods Mar 09 '15 at 14:10
  • $\liminf_{x\rightarrow+\infty} F(x)=\lim_{x\rightarrow +\infty} (\inf_{y\geq x} F(y))$ why you say there is always $x$ such that $F(x)<1/\varepsilon$ ? – Vrouvrou Mar 09 '15 at 14:19
  • I'm doing a proof by contradiction. I assume that property 3.12 does not hold and arrive at a contradiction, therefore property 3.12 must hold. – jdods Mar 09 '15 at 14:20
  • when $\liminf_{x\to +\infty} F(x)=x_0<\infty$ and $F(t)< x_0-\varepsilon$ where is the contradiction please – Vrouvrou Mar 09 '15 at 15:09
  • As x goes to infinity, there are always x values that are epsilon below the lim inf (for a fixed epsilon). That is a contradiction. – jdods Mar 09 '15 at 15:41
  • ah the contradiction is that there is a value small than the limite inf ? – Vrouvrou Mar 09 '15 at 15:46
  • Yes! Precisely! Do you see it now? – jdods Mar 09 '15 at 15:55
  • yes thank you ^_^ – Vrouvrou Mar 09 '15 at 15:57