I am looking for any closed form expression for the series given below: $$ \sum_{m \ge 1} \frac{(xy)^m}{m(1-y^m)}. $$
Asked
Active
Viewed 205 times
0
-
2Does $\displaystyle \sum_{m \ge 1} \frac{(xy)^m}{m(1-y^m)} = \sum_{m,n \ge 1} \frac{x^my^{{mn}}}{m} = -\sum_{n \ge 1} \log (1-xy^n) = -\log \left(\prod_{n \ge 1} (1-xy^n)\right)$ help ? – r9m Jan 05 '15 at 07:59
-
I don't want 'infinite product' here. – hkju Jan 05 '15 at 08:55
-
Without considering its exponential as done by r9m, we cannot do much better than $$\sum_{n\geq 1}\left(\sum_{d\mid n}\frac{x^d}{d}\right) y^n.$$ – Jack D'Aurizio Jan 05 '15 at 12:31
-
I guess so. the beginning of this question was $$ \sum_{n≥1} ( \sum_{d|n} \frac{x^d}{d}) y^n $$ which comes from the counting of the n-permutations $ {tau} $ with $ {tau}^n=id$. – hkju Jan 05 '15 at 20:14
-
${\tau}$ with ${\tau}^n=id$ – hkju Jan 06 '15 at 00:19
1 Answers
4
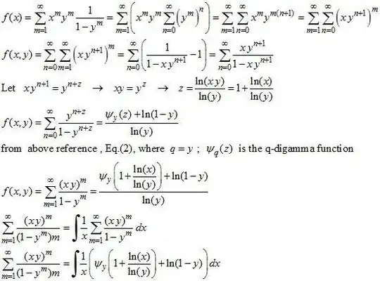
A closed for exists (attachment bellow) for the sum : $$ \sum_{m \ge 1} \frac{(xy)^m}{(1-y^m)} $$ thanks to the special function called q-digamma. See : http://mathworld.wolfram.com/q-PolygammaFunction.html
By integration, a closed form for the sum : $$ \sum_{m \ge 1} \frac{(xy)^m}{m(1-y^m)} $$ is formally expressed.
I cannot say if a simpler form can be derived.

JJacquelin
- 68,401
- 4
- 40
- 91