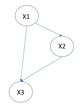
There are three variables, X3 is a function of X1 and X2, X2 also depends on X1.The dependency relationship is shown as the following graph.
In specific, X3= f(X1, x2) and X2=g(X1). Therefore, X3=f(X1, g(X1)). If the probabilistic distribution of X1 is known, how to get the probabilistic distribution of X3.
