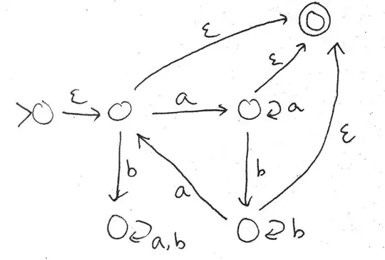
Here is a GNFA I made from an NFA.
I'm unsure how to treat the node of b(a∪b)* (the first node after the start node and the one below it). Since it doesn't lead to any goal state, do I disregard it in when I generate the regular expression?
Here is a GNFA I made from an NFA.
I'm unsure how to treat the node of b(a∪b)* (the first node after the start node and the one below it). Since it doesn't lead to any goal state, do I disregard it in when I generate the regular expression?
Given an NFA, we can simplify it to an equivalent NFA with possibly fewer states by repeatedly applying the following two pruning steps:
In your case, this will result in removing the left bottom state.