Right now I am trying to learn how to work with automata and regular grammar, and I encountered the following exercise:
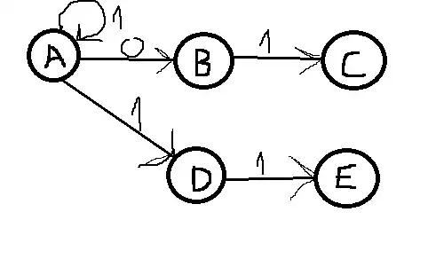
$(1^*01)11$
I found the following solution, but I am not really sure if it's right.
What I didn't understand it's from where exactly I should continue after I close the parenthesis or start a new one (let's say the expression was $11(1^*01)$ . When I start the parenthesis and I have A ->1B -> 1C, do I continue the automata after the C or I return to A?
Thank you.
