7

Let's say we have given simple undirected graph $G$ having $N$ nodes and $M$ bidirectional edges. For given $x$ and $y$ we want to check if in the graph there is only one simple path between them.

What I was thinking for, is that we should find all the cycles in the graph and run bfs from $x$ to $y$, if the path doesn't move through the vertices that are in some cycle, there is only one path, and otherwise there are more.

Is there some other way to check this?

Raphael
  • 73,212
  • 30
  • 182
  • 400
someone12321
  • 1,428
  • 15
  • 27

4 Answers4

5

Raphael's suggestion to use 2-shortest path is correct but more complex than necessary.

Your approach is unfeasible, the number of cycles is factorial in the size of input.

Here's a sketch of a solution in time $O(|V|+|E|)$.

Find a path $p_1, \dots p_n$ from $x$ to $y$ in $O(|V|+|E|)$. If no such path exists, answer $\textsf{NO}$. Otherwise, mark all the nodes in the path. That path is indeed unique if and only if no node in that path reaches a node that comes after it. Starting from the first node of the path $p_1$, pick a random edge going out from $p_1$ other than the one that connects it to $p_2$ and start a DFS from there. If you reach a marked node, answer $\textsf{NO}$, if you never reach a marked node, cut that branch from the graph and pick another random outgoing edge. Continue in a similar fashion until all outgoing edges are exhausted, then start again with the following node until you reach $p_n$. If you finish the procedure without ever answering $\textsf{NO}$, answer $\textsf{YES}$. The entire procedure has the cost of a DFS, $O(|V|+|E|)$, therefore the overall time is $O(|V|+|E|)$.

David Richerby
  • 82,470
  • 26
  • 145
  • 239
quicksort
  • 4,272
  • 1
  • 10
  • 21
2

Run a k-shortest path algorithm with $k=2$ and observe whether it fails.

Raphael
  • 73,212
  • 30
  • 182
  • 400
2

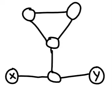
If there exist a path from source $x$ to some cycle it doesn't always contradict the existence of a single simple path. Take a look at the following example: enter image description here

Here there is a cycle that can be reached from $x$ and $y$. This problem can be solved in $O(|V| + |E|)$.

You can run BFS to find shortest distance from $x$ to every vertex on the graph and the same from $y$. One node belong to the shortest path from $x$ to $y$ if and only if $$distance(x,u) + distance(u,y) = distance(x,y)$$ Now, to check if there is a single path, check that valid nodes in shortest path at every distance occurs at most once. This is, if there are at least two nodes that belong to a shortest path from $x$ to $y$ with the same distance to $x$ then, there are at least two shortest path, otherwise it is unique. You can do all post-processing in $O(|V|)$.

Marcelo Fornet
  • 1,197
  • 6
  • 15
0

Perform a depth-first search starting in $x$ and annotate edges according to whether they are tree, back, or cross edges (cf. e.g. here).

There is more than one simple path from $x$ to $y$ if and only if there is (at least) one node on the path from $x$ to $y$ using only tree edges (i.e. the path found by DFS) that is incident to a back or cross edge.

Raphael
  • 73,212
  • 30
  • 182
  • 400