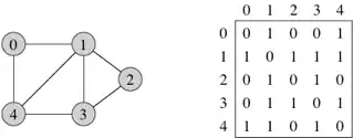
I'm currently learning about graphs and I have some questions regarding adjacency matrices. Given an arbitrary adjacency matrix:
Is there any way to tell if that matrix represents a hierarchal graph structure? Obviously in the above case it's not.
Something like:
I know the rows of and i x i adjacency matrix represent the out-degree of ith vertex and columns represent the in-degree of the ith vertex. But is there any way to tell just by looking at the general structure of the adjacency matrix if the graph is hierarchical (At least, for smaller matrices as above) ?

