How would I go about solving this?
Asked
Active
Viewed 63 times
1 Answers
1
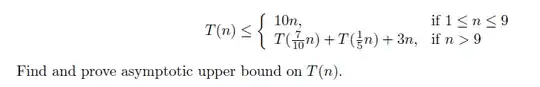
Can you show that $T(\,)$ is increasing? That is, can you show that $T(n)< T(m)$ for $n<m$? If you can, then $T(n/5) \le T((7n)/10)$ so $$ T(n) \le 2T(\frac{7}{10}n) + 3n $$ and the upper bound of this is easy to compute by, say, the Master Theorem.
Rick Decker
- 15,016
- 5
- 43
- 54
