Given a DAG (directed acyclic graph) $G=(V,E)$ without multiple edges, i.e., edges with the same source and target vertices, we define:
A vertex $v_j \in V$ is a diamond-join ($\Diamond_J$) vertex if there exists some other vertex $v_f \in V$ such that there are at least two vertex-disjoint paths (except $v_f$ and $v_j$) from $v_f$ to $v_j$.
Furthermore, we call such a corresponding vertex $v_f$ above a diamond-fork ($\Diamond_F$) vertex. And, we call such a pair $(v_f, v_j)$ above a diamond ($\Diamond$) pair.
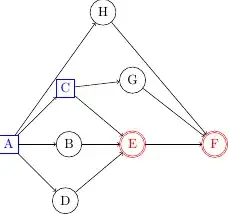
An Example: In the figure below,
- $E$ and $F$ are $\Diamond_J$ vertices.
- $A$ and $C$ are $\Diamond_F$ vertices.
- $(A,E), (A,F)$ and $(C,F)$ are $\Diamond$ pairs.
The problems are:
- How to identify all the $\Diamond_J$ vertices?
- How to identify all the $\Diamond_F$ vertices?
- How to identify all the $\Diamond$ pairs?
The algorithms should be as efficient as possible. For example, are there linear algorithms, i.e., in $\Theta(n + m)$, for them, where $|V| = n, |E| = m$?
My Thoughts:
The first problem is easy: Run DFS on $G$ and the vertices pointed to by cross edges are the $\Diamond_J$ vertices.
I do not know how to solve 2&3 efficiently.
Edit (2016-05-11): I accept the answer by @Chao Xu which solves the third problem in $O(nm)$ (I think it is correct; please peer review it). I am still open to possibly more efficient algorithm for the third problem, like $O(n+m)$.
