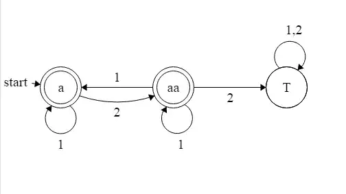
I want to covert this DFA to RE:
I converted and this is my result: 1*+1*2+21*, but I test it and give wrong result.
This dfa describe "any strings(lambda) but not contain 22". Please help me about!
I want to covert this DFA to RE:
I converted and this is my result: 1*+1*2+21*, but I test it and give wrong result.
This dfa describe "any strings(lambda) but not contain 22". Please help me about!