2

I'm trying to find out how many circuits exist in a graph $G$, given its adjacency matrix.

Yet, the only thing I know is how to find out if there is a circuit in a graph $G(X,U)$ given a list of out-neighbours for each vertex. To do that, you just delete every vertex with no out-neighbours, and update the adjacency lists for the remaining vertices. If repeating this operation deletes all the vertices, the graph had no circuit; otherwise, it has a circuit.

For example,

\begin{array}{|l|cr|} x & \Gamma^+(x)\\ \hline a & b,c,d\\ b & d,e\\ c & d,f \\ e & d,h \\ f & g,i \\ g & h, e \\ h & \emptyset\\ i & g,h \\ \end{array}

Whenever $\Gamma^+(x)$ is empty, we can delete $x$.

\begin{array}{|l|cr|} x & \Gamma^+(x)\\ \hline a & b,c,d\\ b & d,e\\ c & d,f \\ e & d,\not h \\ f & g,i \\ g & \not h, e \\ \not h & \not\emptyset\\ i & g,\not h \\ \end{array}

Therefore, a circuit exists in $G$.

Yet, it only tells me if there is a circuit in my graph. How may I find all circuits?

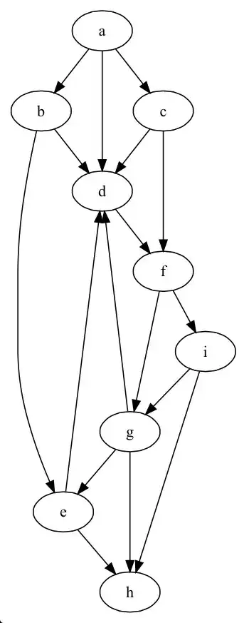
for instance with: graph with nine vertex

$$\begin{bmatrix} 0 & a & b & c & d & e & f & g & h & i \\ a & 0 & 1 & 1 & 1 & 0 & 0 & 0 & 0 & 0 \\ b & 0 & 0 & 0 & 1 & 1 & 0 & 0 & 0 & 0 \\ c & 0 & 0 & 0 & 1 & 0 & 1 & 0 & 0 & 0 \\ d & 0 & 0 & 0 & 0 & 0 & 1 & 0 & 0 & 0 \\ e & 0 & 0 & 0 & 1 & 0 & 0 & 0 & 1 & 0 \\ f & 0 & 0 & 0 & 0 & 0 & 0 & 1 & 0 & 1 \\ g & 0 & 0 & 0 & 1 & 1 & 0 & 0 & 1 & 0 \\ h & 0 & 0 & 0 & 0 & 0 & 0 & 0 & 0 & 0 \\ i & 0 & 0 & 0 & 0 & 0 & 0 & 1 & 1 & 0 \\ \end{bmatrix} $$

What algorithm should I use to find all the circuits of this graph? Even a hint would be appreciated.

0 Answers0