How do I go about finding a language recognized by the following automaton? And is it possible to find a corresponding regular expression? I've read some posts about the same issue here on CS.SE but none of the approaches seem to give me a solution.
EDIT: I've just learned Arden's theorem and the method of solving this with a system of regular expressions (as this is actually not covered in my course but looks a lot more practical and easier than just 'guessing').
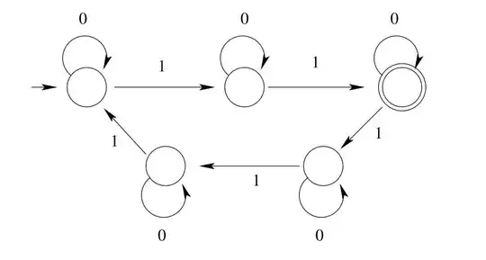
What I've got so far:
If we label the states clockwise from 1 to 5, such that the accepted state is $X_3$, I get the following equations.
$$\begin{cases} X_1 = 0X_1 + 1X_4 \\ X_2 = 0X_2 + 1X_1 \\ X_3 = 0X_3 + 1X_2 + \epsilon \\ X_4 = 0X_4 + 1X_5 \\ X_5 = 0X_5 + 1X_3 \end{cases}$$
If I apply Arden's theorem to every one of these, I get:
$$\begin{cases} X_1 = 0^*1X_4 \\ X_2 = 0^*1X_1 \\ X_3 = 0^*(1X_2 + \epsilon) \\ X_4 = 0^*1X_5 \\ X_5 = 0^*1X_3 \end{cases}$$
Substituting until reaching an equation for $X_3$ gives me the following: $$X_3=0^*10^*10^*10^*10^*1X_3+0^*$$ And apply Arden's theorem one last time: $$X_3=0^*(0^*10^*10^*10^*10^*1)^*$$ Which would be the regular expression for this automaton, however this does not seem to be right at all. Any suggestions or tips where I (could) have gone wrong?
