I was trying to generate maximal length pseudo random sequence using an linear feedback shift register (LFSR). I have read from many sources that the length of the pseudo random sequence generated from the LFSR would be maximum if and only if the corresponding feedback polynomial is primitive.
I have tried to generate the pseudo random sequence for the primitive polynomial (4,1,0) (corresponding to polynomial $x^4 + x + 1$) by tapping at bits 4 and 1, and it has resulted in a sequence with a period of $2^4$ - 1 = 15. Similarly I have tried primitive polynomial given by (3, 1, 0) (corresponding to polynomial $x^3 + x + 1$) by tapping at bits 3 and 1 and it has resulted in a sequence of period $2^3$ - 1 = 7.
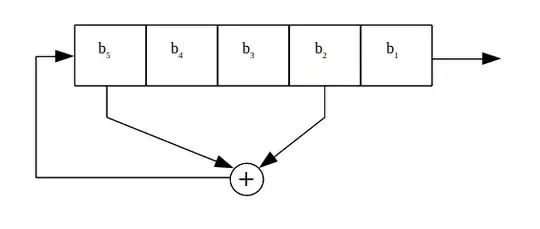
When I tried to apply this same logic to the primitive polynomial (5, 2, 0) (corresponding to polynomial $x^5 + x^2 + 1$) it yields a sequence with period 15. While it should have yielded a sequence with period 2^5 -1 = 31. Following is the circuit diagram for (5, 2, 0)

1) What is the exact procedure to convert the given polynomial into a maximal length LFSR?
2) How do I determine the correct tap bits for a given polynomial?