Update:
This solution is not correct.
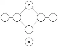
The solution is unfortunately only true (and straightforward) for trees! Finding the diameter of a tree does not even need this. Here is a counterexample for graphs (diameter is 4, the algorithm returns 3 if you pick this $v$):

If the graph is directed this is rather complex, here is some paper claiming faster results in the dense case than using algorithms for all-pairs shortest paths.
However my main point is about the case the graph is not directed and with non-negative weigths, I heard of a nice trick several times:
- Pick a vertex $v$
- Find $u$ such that $d(v,u)$ is maximum
- Find $w$ such that $d(u,w)$ is maximum
- Return $d(u,w)$
Its complexity is the same as two successive breadth first searches¹, that is $O(|E|)$ if the graph is connected².
It seemed folklore but right now, I'm still struggling to get a reference or to prove its correction. I'll update when I'll achieve one of these goals. It seems so simple I post my answer right now, maybe someone will get it faster.
¹ if the graph is weighted, wikipedia seems to say $O(|E|+|V|\log|V|)$ but I am only sure about $O(|E|\log|V|)$.
² If the graph is not connected you get $O(|V|+|E|)$ but you may have to add $O(α(|V|))$ to pick one element from each connected component. I'm not sure if this is necessary and anyway, you may decide that the diameter is infinite in this case.