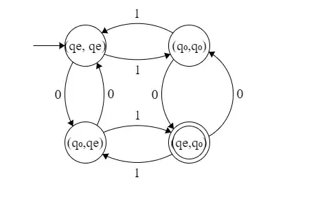
let's call first DFA A and second DFA B, let their corresponding states be A.Q and B.Q, then consider $A.Q$x$B.Q$ (cartesian product of states), you will get: $\{(q_e,q_0), (q_e,q_e), (q_0, q_0),(q_0, q_e)\}$, now let the new transition function for pair $\delta((a,b),w)$=$(A.\delta(a,w),B.\delta(b,w))$, so basically simulate both machine by tracking their states as a pair. now what will be the accepting state? we want both machines to be in accepting state, so our accepting state in this case will be: $(q_e,q_0)$ (notice pair's first component is state of first machine and second component state of second machine), thus first machine must be in $q_e$ to accept and second machine must be in $q_0$ to accept. In general accepting state can be expressed as $A.F$x$B.F$ (cartesian product of corresponding final states). now let's draw the diagram:
