
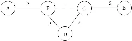
A negative edge is simply an edge having a negative weight. It could be in any context pertaining to the graph and what are its edges referring to. For example, the edge C-D in the above graph is a negative edge. Floyd-Warshall works by minimizing the weight between every pair of the graph, if possible. So, for a negative weight you could simply perform the calculation as you would have done for positive weight edges.
The problem arises when there is a negative cycle. Take a look at the above graph. And ask yourself the question - what is the shortest path between A and E? You might at first feel as if its ABCE costing 6 ( 2+1+3 ). But actually, taking a deeper look, you would observe a negative cycle, which is BCD. The weight of BCD is 1+(-4)+2 = (-1). While traversing from A to E, i could keep cycling around inside BCD to reduce my cost by 1 each time. Like, the path A(BCD)BCE costs 5 (2+(-1)+1+3). Now repeating the cycle infinite times would keep reducing the cost by 1 each time. I could achieve a negative infinite shortest path between A and E.
The problem is evident for any negative cycle in a graph. Hence, whenever a negative cycle is present, the minimum weight is not defined or is negative infinity, thus Floyd-Warshall cannot work in such a case.
As an addition, you might want to take a look at Bellman-Ford Algorithm which detects whether a graph have negative cycle or not and otherwise return the shortest path between two nodes.