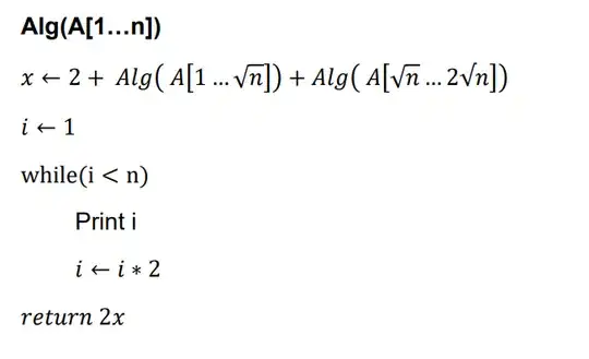
how can I know what are the recursive calls of this algorithm ?
in line two there are 2 recursive calls and I don't know how to write this as T(n) for the Recurrence relation.
Here is the algorithm :

Asked
Active
Viewed 30 times
0