1

I have a grammer with the following productions,

S -> aA | bC | b
A -> aS | bB
B -> aC | bA | a
C -> aB | bS

I have to construct regular expression for it. I derived words for this language and which are

b, aab, aba, baa, bbb, aaaab, aaaba, aabbb, abaaa, baaaa, ...

So after I deriving the words I concluded that it's a language of strings having odd number of b and having odd length.

Can you please help me to construct regular expression for it.

I appreciate your help.

Bader Abu Radi
  • 5,494
  • 1
  • 11
  • 41
Harshil Modi
  • 215
  • 1
  • 7

3 Answers3

1

Note that your grammar is regular. Quoting from wikipedia:

A grammar is regular when no rule has more than one nonterminal in its right-hand side, and each of these nonterminals is at the same end of the right-hand side. Every regular grammar corresponds directly to a nondeterministic finite automaton, so we know that this is a regular language.

In theory, every regular grammar generates a regular language. Also, its not hard to construct the relevant NFA for the generated language: for a specific example on how to do that, you can click here (this is actually what has been done in @Matthieu Latapy's answer). Once you have an NFA for the language, you can translate it into a regular expression (there are several ways to achieve this based on state removal methods which are a bit tedious: see here).

BTW, you already know that your language is all words with "odd length and odd number of b's". It is easy to build a DFA for it consisting of 4 states (hint: your language is an intersection of two languages, each having a DFA with two states).

Bader Abu Radi
  • 5,494
  • 1
  • 11
  • 41
0

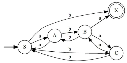
It seems to me that you may simply consider the automata with states S, A, B, C and exit state X, and with the following transitions:

S -a-> A
S -b-> C
S -b-> X
A -a-> S
A -b-> B
B -a-> C
B -b-> A
B -a-> X
C -a-> B
C -b-> S

DFA for your language

Right?

Matthieu Latapy
  • 685
  • 4
  • 20
0

Your language consists of all strings with an even number of $a$'s and an odd number of $b$'s. How do we construct a regular expression for such a language?

Let us assume for starters that the word starts with $bb$. Thus, it has the form $$ bba^{n_1}ba^{n_2} \ldots ba^{n_m}, $$ where $m$ is even and $n_1+\cdots+n_m$ is even. This suggests grouping the $b$'s in pairs $ba^kba^\ell$. There are two types of pairs: a pair with $k+\ell$ even, and a pair with $k+\ell$ odd. If we denote the first type with $E$ and the second type with $O$, then our word is of the form $bs$, where $s$ is a word over $\{O,E\}$ with an even number of $O$s. Such words $s$ are described by the regular expression $E^*(OE^*OE^*)^*$. Also, it is easy to express $E,O$ as regular expressions: \begin{align} E &= b(aa)^*b(aa)^* + ba(aa)^*ba(aa)^* \\ O &= ba(aa)^*b(aa)^* + b(aa)^*ba(aa)^* \end{align} Altogether, we obtain a regular expression for all words in your language that start with $bb$.

In the general case, let the word start with $a^kba^\ell b$. If $k+\ell$ is even, then this is the same case as before. Otherwise, we need an odd number of $O$s, and so the $\{O,E\}$ part of the word is described by $E^*OE^*(OE^*OE^*)^*$. Altogether, we obtain the following regular expression: $$ [(aa)^*b(aa)^*+a(aa)^*ba(aa)^* + a(aa)^*b(aa)^*E^*O + (aa)^*ba(aa)^*E^*O]E^*(OE^*OE^*)^*. $$

Yuval Filmus
  • 280,205
  • 27
  • 317
  • 514