How do I convert this PDA to CFG?

I am currently stuck with this, any help would be appreciated, thank you in advance!
How do I convert this PDA to CFG?

I am currently stuck with this, any help would be appreciated, thank you in advance!
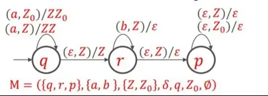
From the PDA diagram we get the transition function as follows:
$\delta(q,a,Z_0)=(q,ZZ_0)$
$\delta(q,a,Z)=(q,ZZ)$
$\delta(q,\epsilon,Z)=(r,Z)$
$\delta(r,b,Z)=(r,\epsilon)$
$\delta(r,\epsilon,Z)=(p,\epsilon)$
$\delta(p,\epsilon,Z)=(p,\epsilon)$
$\delta(p,\epsilon,Z_0)=(p,\epsilon)$
Now let $G$ be the context free grammar and V be the set of variables. Now we represent a variable depending on the state $p$ which the PDA was in before having the ultimate effect of popping an element $X$ from the stack and ultimately landing in the state $q$, as $[pXq]$ where $p$,$q$ are any arbitrary states in the PDA and $X$ is any arbitrary stack symbol.
So our variables will be of the form $[\{p,q,r\} \times \{Z,Z_0\} \times \{p,q,r\}]$
So corresponding to the transition 1 we have the following productions:
1.$[qZ_0q] \rightarrow a[qZq][qZ_0q]$
2.$[qZ_0q] \rightarrow a[qZr][rZ_0q]$
3.$[qZ_0q] \rightarrow a[qZp][pZ_0q]$
4.$[qZ_0p] \rightarrow a[qZq][qZ_0p]$
5.$[qZ_0p] \rightarrow a[qZp][pZ_0p]$
6.$[qZ_0p] \rightarrow a[qZr][rZ_0p]$
7.$[qZ_0r] \rightarrow a[qZq][qZ_0r]$
8.$[qZ_0r] \rightarrow a[qZp][pZ_0r]$
9.$[qZ_0r] \rightarrow a[qZr][rZ_0r]$
From transition 2 we have:
10.$[qZq] \rightarrow a[qZq][qZq]$
11.$[qZq] \rightarrow a[qZp][pZq]$
12.$[qZq] \rightarrow a[qZr][rZq]$
13.$[qZp] \rightarrow a[qZq][qZp]$
14.$[qZp] \rightarrow a[qZp][pZp]$
15.$[qZp] \rightarrow a[qZr][rZp]$
16.$[qZr] \rightarrow a[qZq][qZr]$
17.$[qZr] \rightarrow a[qZp][pZr]$
18.$[qZr] \rightarrow a[qZr][rZr]$
From transition $3$ we have:
19.$[qZq] \rightarrow [rZq]$
20.$[qZp] \rightarrow [rZp]$
21.$[qZr] \rightarrow [rZr]$
from transition $4$ we have:
22.$[rZr] \rightarrow b$
from transition $5$ we have:
23.$[rZp] \rightarrow \epsilon$
From transition $6$ we have:
24.$[pZp] \rightarrow \epsilon$
From transition $7$ we have:
25.$[pZ_0p] \rightarrow \epsilon$
Now let us rename our variables which occur on the $LHS$ of the productions using simpler names as:
$[qZ_0q] = A$, $[qZ_0p] = B$,$[qZ_0r] = C$,$[qZq] = D$,$[qZp] = E$,$[qZr] = F$, $[rZr] = G$,$[rZp] = H$,$[pZp] = I$,$[pZ_0p] = J$
Now we rewrite the productions with the new variable names substituted but we omit those productions whose body has a variable of the form $[pXq]$ which cannot be expanded so, for this reason productions $2,3,6,8,9,11,12,17,19$ are discarded.
So we have:
$A \rightarrow aDA$
$B \rightarrow aDB | aEJ$
$C \rightarrow aDC$
$D \rightarrow aDD$
$E \rightarrow aDE | aEI | aFH | H$
$F \rightarrow aDF | aFG | G$
$G \rightarrow b$
$H \rightarrow \epsilon$
$I \rightarrow \epsilon$
$J \rightarrow \epsilon$
Now let $S$ be the start symbol and we add productions:
$S \rightarrow A | B | C $
So the resulting CFG $G'$ is
$G' = (\{S,A,B,C,D,E,F,G,H,I,J\},\{a,b\},P,S)$ where $P$ contained the productions described above.