If your question is to find a regular expression for strings that avoid $110$ then a possible answer is $(0+10)^*1^*$ as computed by ChesterX. The intuition is clear: after two $1$'s we can only add $1$'s, so that can only happen at the end. Otherwise we are "safe" if we accompany every $1$ by a $0$.
If you question is how to find a regular expression for the expression avoiding subword $w$ in general, then follow the course set by Alajandro and Wandering Logic: (1) make a "linear" nondeterministic FSA for $\Sigma^* w \Sigma^*$, (2) determinize (3) complement (4) construct expression by successive state removal.
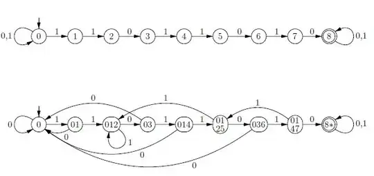
Here I want to make two remarks.
First, in general the determinization of a FSA can result in a exponentional blow-up in size. Fortunately in this setting this will not happen. The automata obtained are related to the construction of a patternmatching automaton due to Knuth-Morris-Prat.
Second, although the automaton will not explode in size, its structure can be nontrivial.
An example of both observations is given below. The automaton for pattern $11011010$ in both nondeterministic and deterministic versions. For the DFA I have cheated a little. For state $8*$ we find by the usual algorithm a large set of states, all accepting. That an easily be summarixed by this single state (which becomes useless after complementation).
