Some Languages are trivial to find their respective context-free grammar. Like for example $ L= \{a^nb^n: n \geqslant 0\}$. However some are really difficult to solve. I would like to have some advice on how I can tackle them.
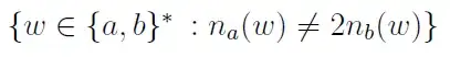
For example I have the following language that I have been trying to solve for a while :
I tried to divide the problem into three cases as follow:
case i: na $\le$ nb
case ii: nb $\le$ na $<$ 2nb
case iii: na $\ge$ 2nb
The first case was easy to solve however I am stuck in case ii. At this point I don't even know if the procedure that I chose is the correct one.
EDIT: It is not an duplicate 3 of the links that you have provided me are not the same problem one of them is the same suggests the same strategy however doesn't solve the problem.