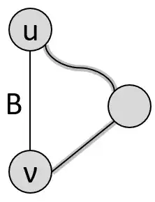
Prove that if G is an undirected connected graph, then each of its edges is either in the depth-first search tree or is a back edge.
Now, from intuition and in class lectures by Steven Skiena, I know that the above holds true, since it dives all the way down, and then throw a rope back to a previous vertex. I also know that DFS is great in finding cycles.
However, my problem here is that I don't know how to prove that the edge is either a tree edge or a back edge.


