0

I have been trying to solve this problem.

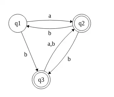
Convert the DFA to a regular expression. enter image description here

I extracted these following equation.

$q_1 = q_2a$

$q_2 = q_1a + (a+b)q_3$

$q_3 = q_1b + q_2a $

Also,the solution is $a(aa)^*+a^*b((a+b)a^*b)^*+a^*b((a+b)a^*b)^*(a+b)(aa)^*$

Can somebody tell me how to get to this answer??

0 Answers0