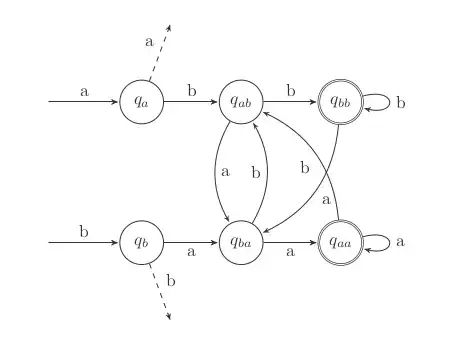
Our class teacher gave us a descriptive definition of a language in a Quiz today and ask us to make its DFA. In the middle of quiz he also told us the Regular Expression(RE) of that language but we still didn't make its DFA.
I am trying to make Deterministic Finite Automata (DFA) of this lang which is defined on alphabet={a,b} and all strings present in this language are either start or end on double letter i.e aa or bb. The RE is given in title.
I made a DFA by using Kleene Theorems but its pretty complex. How i can directly make a DFA.


