$r_3=r_1r_2=(a^*b)^*(a+ba)^*bb(a+b)^*$ comes out to be $r_3=r_2=(a+ba)^*bb(a+b)^*$ when i generate the resultant FA and its regex after concatenation i.e. it doesn't include $r_1$
Details:
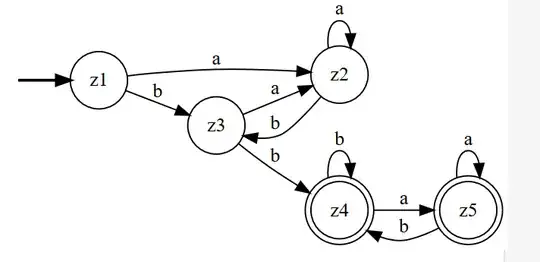
Consider these two FA
$FA_1$

$FA_2$

if $r_1,r_2$ and $r_3$ are regex for $FA_1,FA_2$ and $FA_3$ respectively where
$r_1=(a^*b)^*$
$r_2=(a+ba)^*bb(a+b)^*$
then, mathematically, $r_3=r_1r_2=(a^*b)^*(a+ba)^*bb(a+b)^*$
But $r_3$ turns out different when I actually concatenate $FA_1$ and $FA_2$ and use the new transition table (given below) for $FA_3$ to generate its regex ($r_3$) and the $TG_3$ (given below) and then simplify, $r_3$ becomes $(a+ba)^*bb(a+b)^*$ which is the same as $r_2$ (i.e. $r_1$ not prefixed). and since $r_3=r_1r_2=(a^*b)^*(a+ba)^*bb(a+b)^*$ can't be simplified into $r_2=(a+ba)^*bb(a+b)^*$
I am convinced that the problem is in the concatenation/transition table,
especially with the circular references to $x_1$ and $y_1$, which i don't completely get. That also would mean $TG_3$ iswrong.
Now, it'd be very tedious to explain how i created the transition table, it's easier to figure out by looking at it. but key point i can't quite grasp the "$x_1$ and $y_1$ being connected" part
Sidenotes:
- This is the only way to concatenating two FA that i know of. I am on a distant learning platform and it's quite low quality material, so links to proper methods are appreciated.
- If you use another method, please keep in mind that the transition table, regex and the TG and all required
- The TG looks like an FA to me (barely know the difference) but the site i used to generate it says it's a TG. what's the difference?

