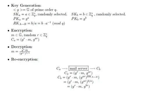
are there any available tools/libraries that implement the idea of EIGamal-based proxy re-encryption scheme shown below? Preferably in Golang. Thank you!

Source of this picture: https://www.cs.jhu.edu/~susan/600.641/scribes/lecture17.pdf
are there any available tools/libraries that implement the idea of EIGamal-based proxy re-encryption scheme shown below? Preferably in Golang. Thank you!

Source of this picture: https://www.cs.jhu.edu/~susan/600.641/scribes/lecture17.pdf