1

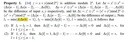
I'm studying Impossible Differential Cryptanalysis of SPECK paper and I'm having trouble understanding the differential diffusion property of addition in page 19 which is as follows:

enter image description here

can someone explain what that property means or what symbol k|∆x[K] means?

siba36
  • 301
  • 1
  • 12

1 Answers1

1

The expression $\{k|\Delta x[k]=1\}$ should be read as "the set of $k$ such that the $k$th bit of $\Delta x$ is set". It follows then that $\ell_1$ is the rightmost bit position where the two $x$ values differ and $\ell_2$ is the rightmost position where the two $y$ value differ. It also follows that the two $x$ values and two $y$ values agree in all $\ell-1$ positions to the right of the $\ell$th position.

Elementary addition tells us that the $\ell-1$ rightmost bits of $z$ depend only on the $\ell$ rightmost bits of $x$ and the $\ell$ rightmost bits of $y$, so that for two additions where these bits are identical, the $\ell-1$ rightmost bits of the answers are identical. Hence $\Delta z[k]=0$ for $k<\ell$.

In the case where $\ell_1=\ell_2$, the computation of the $\ell$th bit is given by $$z[\ell]=x[\ell]\oplus y[\ell]\oplus c[\ell-1]$$ where $c[\ell-1]$ is the carry bit. This carry bit is the same in both cases but we replace the other terms with $x[\ell]\oplus 1$ and $y[\ell]\oplus 1$ so that $z[\ell]$ is unchanged (i.e. $\Delta z[\ell]=0)$. In the case $\ell=\ell_1\neq\ell_2$ the carry bit is still the same and we only make the replacement $x[\ell]\oplus 1$ so that $z[\ell]$ flips (i.e. $\Delta z[\ell]=1$). Similarly in the case $\ell=\ell_2\neq\ell_1$ we make the replacement $y[\ell]\oplus 1$ so that again $\Delta z[\ell]=1$.

Daniel S
  • 29,316
  • 1
  • 33
  • 73