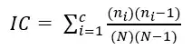
In school we only learned the formula without the normalizing coefficient:
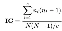
But Wikipedia has one that says:
I am using IC in a cryptography class to find the key length and am checking various key lengths to see which one results in an IC closest to 0.066. I have to automate the key length finding process but I don't know which formula I should use. What does the normalizing coefficient change about the value? Does it make it better for finding the key length? Which formula should I use for my case?
from freq_analysis import freqs
import string
def ioc(fname, normalize: bool = False):
frq = list(freqs(string.ascii_uppercase, fname).values())
n = sum(frq)
for x in range(0, len(frq)):
frq[x] = frq[x] * (frq[x] - 1)
frq = sum(frq)
if normalize:
return frq26 / (n(n-1))
else:
return frq / (n*(n-1))
Full context for above code here: https://github.com/DarkFireGuy/cracking-vigenere (if you want to see context for freq_analysis and freqs())

