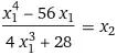
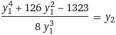
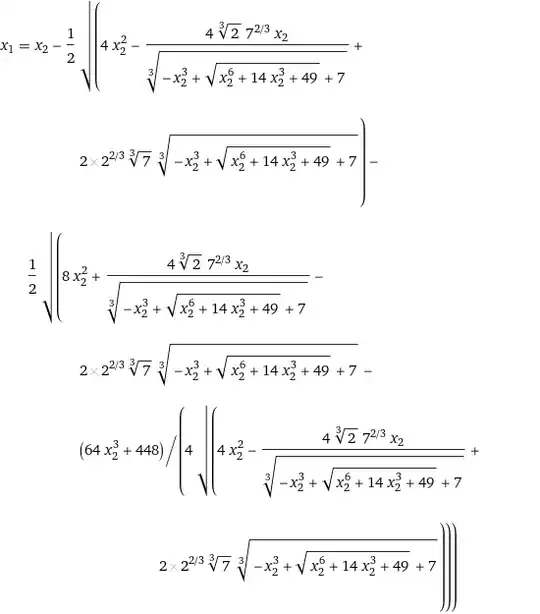
Can anyone tell me the specific equations and steps for dividing a point on an elliptic curve by 2?
For instance, I have the point $(P_x, P_y)$, and I would like to find the point $(R_x, R_y)$ which when doubled yields $(P_x, P_y)$.
It was suggested that I use the point doubling equations and solve, but I am looking for the specific equations and steps and perhaps a reference to thorough discussion of the topic.
Thanks for your time.
EDIT: I was under the impression that it would be the same steps for all curves. In this instance I am trying to do it on the secp256k1 curve.



