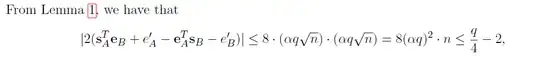
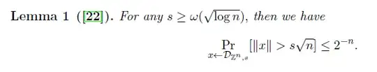
First: Lemma 1 says that $||\mathbf{x}|| \leq \alpha q \sqrt{n}$ with overwhelming probability if $\mathbf{x}$ is drawn from the discrete Gaussian since $\frac{1}{2^n}$ is negligible.
Next, from properties of absolute values, $|a + b| \leq |a| + |b|$. So, leaving the $2$ out for now and writing $\mathbf{s_A}^T\mathbf{e_B}$ as $\mathbf{s_A}\cdot\mathbf{e_B}$:
$|\mathbf{s_A}\cdot\mathbf{e_B} + e'_A + \mathbf{s_B}\cdot\mathbf{e_A} + e'_B| \leq |\mathbf{s_A}\cdot\mathbf{e_B}| + |e'_A| + |\mathbf{s_B}\cdot\mathbf{e_A}| + |e'_B|$.
Now, for Euclidean norms, Cauchy-Schwarz says $|\mathbf{a\cdot b}| \leq |\mathbf{a}|\cdot |\mathbf{b}|$, so we have, for example, $|\mathbf{s_A}\cdot\mathbf{e_B}| \leq |\mathbf{s_A}| \cdot |\mathbf{e_B}| \leq (\alpha q \sqrt{n})\cdot (\alpha q \sqrt{n})$, the last inequality coming from Lemma 1.
Let's tackle $e'_A$ and $e'_B$. I could sample a vector $\mathbf{e'}$ from $\mathcal{D_{\mathbb{Z^n},\alpha q}}$ and Lemma 1 would apply to it; if $e'_A$ is a member of $\mathbf{e'}$, it is certainly smaller than $||\mathbf{e'}||$:
$|e'_A| \leq ||\mathbf{e'_A}|| \leq \alpha q \sqrt{n} \leq (\alpha q \sqrt{n})\cdot (\alpha q \sqrt{n})$. Same for $e'_B$.
Thus I have four terms, all $\leq (\alpha q \sqrt{n})\cdot (\alpha q \sqrt{n})$. Multiply back in that $2$ and you have the result.
Edit
They do a similar procedure later on in Section 4, and explicitly write out norms, for future reference.