0

I'm trying to run an analysis in R on a dataset with a variable number of columns. One part of the analysis is a linear regression, and to ensure the results make sense I would like to visualise the data from each column separately.

I've set up a loop for the analysis, and use ggsave to save each plot as a pdf - so far, all good, 72 distinct pdfs with individual plots. But if I want to create a list of plots, and use ggarrange to view them, all I get is a plot with 72 (assuming 72 columns of data!) copies of the last plot.

Code:

library(ggplot2)
library(dplyr)
library(ggpubr)
rm(list = ls())
#Select data (csv format, first column cycle numbers)
filename <- file.choose()
Data<-read.csv(filename)
#subtract first row from all data (requires dplyr)
Results<-data.frame(matrix(ncol=2,nrow=0, dimnames=list(NULL, c("Well", "Slope"))))
Data %>% mutate_if(is.numeric, funs(.-first(.)))
#subset based on cycles 6 to 25
Data<-Data[c(6:25),]
yy <-ncol(Data)
plotList=list()
for (i in seq(from = 2, to = yy, by = 1)){
well<-Data[,i]
lm_fit <- lm(well ~ Cycle, data=Data)
cf <- coef(lm_fit)
Slope <- cf[2]
WellData<-merge(i,Slope)
Results<-rbind(Results, WellData)
pltName <- paste( 'Plot', i, sep = '' )
P1 <-eval(substitute(ggplot(Data, aes(Cycle, well)) + 
geom_point() + geom_smooth(method="lm")),list(i=i))
plotList[[i]]<-P1
filename<-(paste0(pltName,".pdf"))
ggsave(filename = filename)
}
colnames(Results) <- c("Well", "Slope")
Results[1]<-Results[1]-1
print(Results)
ggarrange(plotlist = plotList)

Example data:

Cycle   A1  A2  A3  A4
1   5451.07 5986.14 5922.59 7092.01
2   5953.04 6527.92 6505.93 7989.85
3   6227.3  6752.74 6783.56 8237.67
4   6477.02 6952.62 6959.91 8302.8
5   6660.14 7133.86 7149.98 8286.72
6   6804.14 7288.28 7301.48 8271.56
7   6919.78 7413.27 7424.77 8264.33
8   7002.38 7511.45 7519.84 8245.55
9   7075.04 7597.66 7599.81 8229.94
10  7127.82 7645.51 7649.2  8212.87
11  7171.94 7695.83 7701.47 8211.97
12  7193.82 7727.9  7730.65 8199.28
13  7229.76 7756.09 7762.58 8185.75
14  7252.7  7783.35 7780.36 8193.05
15  7259.97 7793    7789.77 8179.77
16  7278.49 7803.85 7799.26 8177.83
17  7288.07 7814.82 7799.02 8169.31
18  7294.38 7812.15 7810.12 8169.02
19  7295.29 7821.13 7816.68 8177.07
20  7296.58 7826.55 7816.37 8165.72
21  7304.65 7829.22 7823.11 8169.64
22  7305.38 7821.46 7819.89 8167.32
23  7306.26 7828.97 7820.36 8162.02
24  7306.38 7830.81 7823.79 8162.48
25  7300.14 7824.72 7827.94 8165.42
26  7296.08 7821.81 7816.32 8156.62
27  7301.82 7826.25 7816.6  8160.69
28  7295.56 7829.91 7822.93 8153.53
29  7295.81 7827.21 7809.87 8156.48
30  7299.35 7833.84 7821.41 8162.64
31  7300.85 7834.91 7819.91 8156.94
stefan
  • 90,330
  • 6
  • 25
  • 51
Lee Smith
  • 5
  • 1

1 Answers1

0

You are running into the issue of lazy evaluation, which means that your counter variable i gets only evaluated when your print your plots, see e.g. Multiple ggplots in one page using for Loop in R.

As an alternative you could use lapply:

library(ggplot2)
library(ggpubr)

Data <- subset(Data, Cycle %in% 6:25)

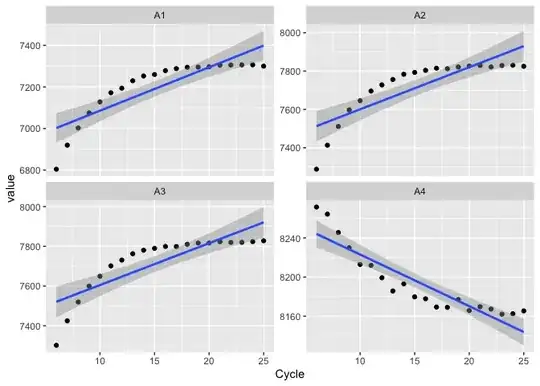
plotList <- lapply(names(Data)[-1], function(x) {
  ggplot(Data, aes(Cycle, .data[[x]])) +
    geom_point() +
    geom_smooth(method = "lm") +
    labs(title = x)
})

ggarrange(plotlist = plotList)

Or as a second and different approach you could reshape your data to long and use facetting. And as you want to create a bunch of plots I would also suggest to have a look at ggforce::facet_wrap_paginate which allows to split a facetted plot over multiple pages.

Data |> 
  tidyr::pivot_longer(-1, names_to = "well") |> 
  ggplot(aes(Cycle, value)) +
  geom_point() +
  geom_smooth(method = "lm") +
  facet_wrap(~well, scales = "free_y")

DATA

Data <- read.table(text = "Cycle   A1  A2  A3  A4
1   5451.07 5986.14 5922.59 7092.01
2   5953.04 6527.92 6505.93 7989.85
3   6227.3  6752.74 6783.56 8237.67
4   6477.02 6952.62 6959.91 8302.8
5   6660.14 7133.86 7149.98 8286.72
6   6804.14 7288.28 7301.48 8271.56
7   6919.78 7413.27 7424.77 8264.33
8   7002.38 7511.45 7519.84 8245.55
9   7075.04 7597.66 7599.81 8229.94
10  7127.82 7645.51 7649.2  8212.87
11  7171.94 7695.83 7701.47 8211.97
12  7193.82 7727.9  7730.65 8199.28
13  7229.76 7756.09 7762.58 8185.75
14  7252.7  7783.35 7780.36 8193.05
15  7259.97 7793    7789.77 8179.77
16  7278.49 7803.85 7799.26 8177.83
17  7288.07 7814.82 7799.02 8169.31
18  7294.38 7812.15 7810.12 8169.02
19  7295.29 7821.13 7816.68 8177.07
20  7296.58 7826.55 7816.37 8165.72
21  7304.65 7829.22 7823.11 8169.64
22  7305.38 7821.46 7819.89 8167.32
23  7306.26 7828.97 7820.36 8162.02
24  7306.38 7830.81 7823.79 8162.48
25  7300.14 7824.72 7827.94 8165.42
26  7296.08 7821.81 7816.32 8156.62
27  7301.82 7826.25 7816.6  8160.69
28  7295.56 7829.91 7822.93 8153.53
29  7295.81 7827.21 7809.87 8156.48
30  7299.35 7833.84 7821.41 8162.64
31  7300.85 7834.91 7819.91 8156.94", header = TRUE)
stefan
  • 90,330
  • 6
  • 25
  • 51