You can use a linear combination of unitaries (LCU).
Consider the following circuit, where $q_1$ is initialized at $|0\rangle$ and $q_0$ has the state $|\psi\rangle$ you want to evolve:

After the first $H$ gate, you have the state:
$$\frac{1}{\sqrt{2}} \left(|0\rangle + |1\rangle \right) \otimes |\psi\rangle $$
As for the controlled gates, $U_0$ gets applied on $|\psi\rangle$ if $q_1$ is $|0\rangle$, and $U_1$ gets applied if $q_1$ is $|1\rangle$, so you end up with the state:
$$\frac{1}{\sqrt{2}} \left(|0\rangle \otimes U_0 |\psi\rangle + |1\rangle \otimes U_1 |\psi\rangle\right) $$
Then, after the second Hadamard gate you have:
$$ \frac{1}{\sqrt{2}} \left(\frac{1}{\sqrt{2}} \left(|0\rangle + |1\rangle \right) \otimes U_0 |\psi\rangle + \frac{1}{\sqrt{2}} \left(|0\rangle - |1\rangle \right) \otimes U_1 |\psi\rangle\right) .$$
Reorganizing by factorizing over $q_1$:
$$
\frac{1}{2} \left(|0\rangle \otimes (U_0 + U_1) |\psi\rangle + |1\rangle \otimes (U_0 - U_1) |\psi\rangle\right) .
$$
So, if you perform a measurement on $q_1$ and post-select the state $|\psi\rangle$ for when you measure $|0\rangle$, you get the state:
$$\frac{1}{2} (U_0 + U_1) |\psi\rangle, $$
up to a normalization factor.
Similarly, if you post-select for a measurement of $|1\rangle$, you get the state:
$$\frac{1}{2} (U_0 - U_1) |\psi\rangle, $$
again, up to a normalization factor.
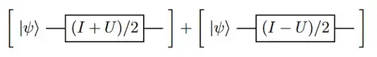
You can then replace $U_0$ with $I$ (although that will be equivalent to not applying that gate), and $U_1$ with $U$.
So basically you end up with the same circuit used for the Hadamard test, you're just post-selecting based on the measurement result. Just figured I would frame it in terms of an LCU since the concept can be applied more generally.