The number of digits of the representation of a positive integer $n$ in base $k$ is
$$\ell_k(n) := \lfloor \log_k n \rfloor + 1,$$
and so the ratio of the length of a binary representation of a number to its decimal length is
$$\frac{\ell_2(n)}{\ell_{10}(n)} = \frac{\lfloor \log_2 n \rfloor + 1}{\lfloor \log_{10} n \rfloor + 1}.$$
For large $n$, the constant terms in the numerator and denominator don't affect the ratio much, and neither do the differences between the values $\log_k n$ and their respective floors (which are always in $[0, 1)$), so (for large $n$) the ratio satisfies
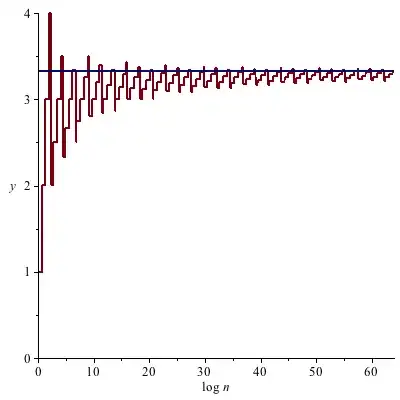
$$\color{#df0000}{\boxed{\frac{\ell_2(n)}{\ell_{10}(n)} \approx \frac{\log_2 n}{\log_{10} n} = \log_2 10 = 3.32192\ldots}}.$$
A little more precisely, the definition of floor gives that $\log_k n \leq \lfloor \log_k n \rfloor + 1 \leq \log_k n + 1$, and so
$$
\frac{\log_2 n}{\log_{10} n + 1}
\leq \frac{\ell_2(n)}{\ell_{10}(n)}
\leq \frac{\log_2 n + 1}{\log_{10} n} .
$$
Using some straightforward algebra we can rewrite this as
$$
\left(1 - \frac{1}{\log_{10} n + 1}\right) \log_2 10
\leq \frac{\ell_2(n)}{\ell_{10}(n)}
\leq \left(1 + \frac{1}{\log_2 n} \right) \log_2 10 .$$
As $n \to +\infty$, both of the quantities in parentheses approach $1$, so the Squeeze Theorem lets us formalize your observation as the assertion
$$\lim_{n \to \infty} \frac{\ell_2(n)}{\ell_{10}(n)} = \log_2 10 .$$
Plot of $\color{#7f0000}{\ell_2(n) / \ell_{10}(n)}$ for $1 \leq n < e^{2^6}$:
