A lot of material on the web regarding Loss functions talk about "minimizing the Hinge Loss".
However, nobody actually explains it, or at least gives some example. The best material I found is here from Columbia, and I include some snippets from it below.
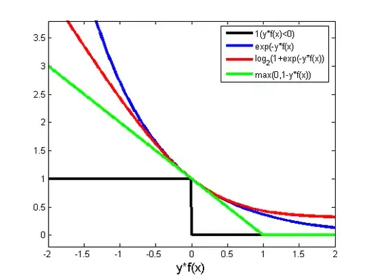
I understand the hinge loss to be an extension of the 0-1 loss. The 0-1 Loss Function gives us a value of 0 or 1 depending on if the current hypothesis being tested gave us the correct answer for a particular item in the training set. The hinge loss does the same but instead of giving us 0 or 1, it gives us a value that increases the further off the point is.
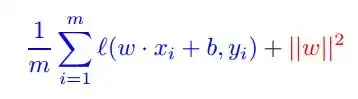
This formula goes over all the points in our training set, and calculates the Hinge Loss $w$ and $b$ causes. It sums up all the losses and divides it by the number of points we fed it.
where
This much makes sense to me.
What's confusing me is as follows:
- How do you plot a hinge loss function?
- How do you minimize it? Isn't the minimal always zero?
- How should I understand the typical hinge loss graph? Are they just gross oversimplifications? For example, the green line represents the hinge loss function you see in every image in a Google search for "hinge loss".

**Please, **Can someone provide (for the world) a simple example of hinge loss minimization? Let's say I have four negative points (blue circles) and four positive points (red squares). What would the loss function look like? How do I minimize (mathematically, and with intuition).
Knowing this would be a huuuge help for me, and probably for many others, as the resources on this popular topic are scarce. Thanks!



For example, the yellow line represents the hinge loss function you see in every image in a Google search for "hinge loss".None of those lines are yellow... – Alex Becker May 05 '14 at 20:23