0

Dafinguzman answered consummately this question initially but it became too long. I want to question for different beliefs.

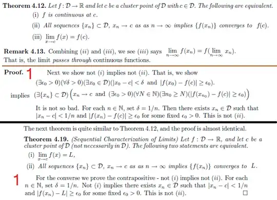
1. $(ii) \implies (i)$ in both Theorems 4.12 and 4.19 posit sequences and then prove by contraposition. How to presage proof choice? Why not direct proof?

I still don't understand 'infinite number of hypotheses' in dafinguzman's answer.
Why not just posit one arbitrary sequence and work with that?

Example. This uses a direct proof after positing $\{x_n\}$ converges. But what sanctioned this? By dint of dafinguzman's answer, aren't there infinitely many convergent sequences, ergo infinite hypotheses? Isn't this the same issue?

Another example. Aren't there infinitely many convergent subsequences with the same limit?
Doesn't this have 'infinite hypotheses' too and founder?

enter image description here

(pp 3, 5 sur 14 https://math.la.asu.edu/~dajones/class/371/ch4.pdf)

1 Answers1

0

The short reason for the author not doing a direct proof probably is that he tried doing a direct proof, got stuck, then tried with the contrapositive and it immediately worked.

I don't think that there is a way to immediately tell when a direct proof or a proof by contraposition will be successful. You try with one method for a bit, see where it leads you (maybe you succeed), then try the other method and continue with the one that seems easier.

Why do I think that the contrapositive is easier in this case? Let's take a look at $(ii)$: for each sequence which converges to $c$ we have knowledge of what happens with the sequence of its images under $f$. That is, that these images converge to $f(c)$.

Note that there are infinitely many sequences converging to $c$.

The thing is that we can have "many" of those sequences such that their images converge to $f(c)$, without the function being continuous at $c$. Think for example of a function of $x$ whose values approach $f(c)$ whenever $x$ approaches $c$ through rational numbers, but not when $x$ approaches $c$ through irrational numbers. You really need all sequences which converge to $c$ to have this property for the conclusion to hold.

It wouldn't occur to me at first glance (or ever) how to use all that information at once to make an argument. Think about this.

On the other hand, the contrapositive asks to prove a simple existence fact which becomes easier to handle:

There exists a sequence $\{x_n\}\subset \mathcal D$, $x_n\to c$ which doesn't imply $\{f(x_n)\}\to f(c).$

I say that this is easier to handle because you only have to construct one example which meets the criterion: a sequence which converges to $c$ but whose images do not have the limit $f(c)$. Constructing this specific example is more or less easy if you assume that the function is not continuous at $c$.

I'd like to add that there is rarely only one way to do things (or prove theorems). I don't want to give the impression that proving the contrapositive is the only way to prove 1; I only wanted to highlight why I think it is an easy way to do it. If you can create a direct proof, I'll be happy to take a look at it, it would be interesting for me.

Note. It is not a bad thing for an implication to have an infinite number of hypotheses. It's just that when all of those are required for the conclusion to hold, it is a bit difficult to construct a proof for it.

Edit. If you want to see examples of proofs by contrapositive, take a look at the great answer to this question. Probably you won't get a way to $presage$ a proof by contrapositive, but it may give you some intuition.

Second Edit. Beware: a proof by contrapositive is not the same as a proof by contradiction. You can take a look at this answer which adresses the issue.

dafinguzman
  • 3,497