I am trying to solve Exercise 3 a) given here. The problem states:
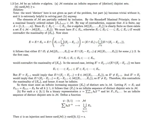
Let $\mathcal{M}$ be an infinite $\sigma$-algebra. Prove that $\mathcal{M}$ contains an infinite sequence of nonempty, disjoint sets. (Hint: if $\mathcal{M}$ contains an infinite sequence of strictly nested sets, then we’re done, so assume that no such sequence exists. Next, use this assumption to find a nonempty set in $\mathcal{M}$ with no nonempty proper subsets in $\mathcal{M}$. Finally, show that this can be done infinitely many times.)
Here's my idea: Let's say $\mathcal{M}$ is $\sigma$-algebra on the set $X$. If $\mathcal{M}$ does not contain an infinite sequence of strictly nested sets, then given any $A\in\mathcal{M}$, every strict chain starting with $A$ must terminate after finite time: i.e. $A\subsetneq E_{1}\subsetneq E_{2}\subsetneq … \subsetneq E_{k}$ and there is no set $X\neq B\in\mathcal{M}$ such that $E_{k}\subsetneq B$. But then the complement $E_k^{c}$ has no nonempty proper subsets in $\mathcal{M}$. But I am having trouble showing that the process can repeated infinitely many times.
I have been stuck with this for the whole day, and it is driving me crazy! Thanks for the help!
