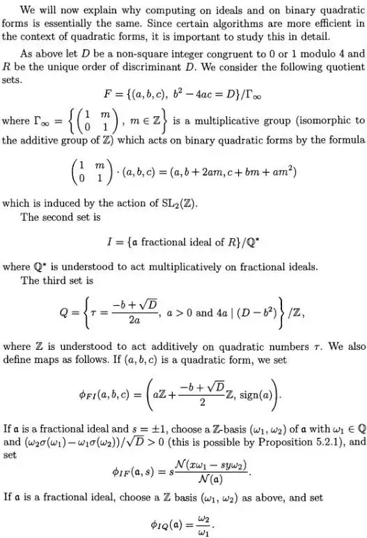
In the literature it is stated that to each quadratic irrational $\gamma=\frac{P+\sqrt{D}}{Q}$ there is a corresponding ideal $I=[|Q|/\sigma , (P+\sqrt{D})/\sigma]$, where $\sigma=1$, if $\Delta \equiv0$ mod $4$ and $\sigma=2$, otherwise.
Thus, in the case of $\frac{2+\sqrt{13}}{3}$ the associated ideal must be $I=[3/2, (2+\sqrt{13})/2]$ which makes no sense, as $N(I)=3/2$ is supposed to be a rational integer.
What am I doing wrong here?
