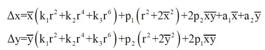
I have an image with lens distortion determined with 7 radial distortion terms $k_1$ thru $k_7$ calculated using the collinearity equation given by
where the lens distortion is given by
Since the tangential distortion terms are negligible, and ignoring scale $a_1$ and shear $a_2$ terms, I am only left with radial distortion.
I am having a difficult time trying to rectify the image from the lens distortion, and so far is have tried to estimate the $x$ and $y$ directly and using the radial distances method.
Based on the method suggested here, I considered the radial distance model where
$$r{'}= r+k_1r^{3}+k_2r^{5}+...+k_7r^{15}$$
where $r=\sqrt{(x-x_p)^2 + (y-y_p)^2}$ and tried to solve for $r$ using Newton method
where $f(r) = r+k_1r^{3}+k_2r^{5}+...+k_7r^{15} - r{'}$ and $f'(r) = 1+3k_1r{2}+5k_2r^{4}+...+15k_7r^{14}$ but the resultant image doesn't look ok. Python implementation :
def undistort_radial_newton_raphson (img, K, dist):
rectified_img = np.ones_like(img)
xp = K[0,2]
yp = K[1,2]
c = K[0,0]
k1, k2, p1, p2, k3, k4, k5,k6, k7 = dist
for x in range(img.shape[1]):
for y in range(img.shape[0]):
xbar = x - xp
ybar = y - yp
rdash = np.sqrt(xbar**2 + ybar**2)
r = rdash
for _ in range(100):
f_r = r + k1*r**3 + k2*r**5 + k3*r**7 + k4*r**9 + k5*r**11+ k6*r**13 + k7*r**15 - rdash
f_d_r = 1 + 3*k1*r**2 + 5*k2*r**4 + 7*k3*r**6 +\
9*k4*r**8 + 11*k5*r**10 + 13*k6*r**12 + 15*k7*r**14
r_new = r - (f_r/f_d_r)
delta = np.abs(r_new - r)
r = r_new
if delta <= 1e-6:
break
xu = ((r/rdash) * x)
yu = ((r/rdash) * y)
if ((xu >= 0) and (xu < img.shape[1])) and (((yu >= 0) and (yu < img.shape[0]))):
rectified_img[int(yu), int(xu), :] = img[y, x, :]
fig, axes = plt.subplots(1, 2)
axes[0].imshow(img)
axes[0].set_title("Distorted image")
axes[0].axis('off')
axes[1].imshow(rectified_img)
axes[1].set_title("Rectified image")
axes[1].axis('off')
axes[1].grid(color='w')
Adjust layout and show plot
plt.tight_layout()
plt.show()
I am not sure what I am missing. Additionally I also tried
- Applied the bisection algorithm mention in 1 but with only 1st 6 coefficients, that didn't work
- Applied Newton's method using the collinearity eq and the result was

- I just calculated $\Delta x$ and $\Delta y$ and subtracted it from $x'$ and $y'$ to result in

I'm really unable to figure out what I am missing or where I am going wrong. Anything really helps.
Thanks
Data to recreate:
calib_params ={
'xp': 1003.031205,
'yp': 789.486771,
'c': 1161.8444,
'k1': -3.338358E-07,
'k2': 1.347146E-13,
'k3': -1.521870E-18,
'p1': 3.081290E-08,
'p2': 9.872170E-08,
'k4': 3.585315E-24,
'k5': -4.688132E-30,
'k6': 3.019413E-36,
'k7': -7.996873E-43,
}

