18

MIT 2025 Integration Bee Quarterfinal #2 Problem 1 (official slides)

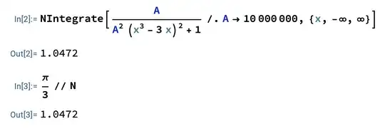
$$\lim_{A \to \infty} \int_{-\infty}^{\infty} \frac{A}{A^2 (x^3 - 3x)^2 + 1} \, dx$$

The answer is given as $\frac{2 \pi}{3}$ in the slides. However, Karthik Vedula (the Grand Integrator of 2025) submitted $\frac{\pi}{3}$ instead, and I am unable to identify errors in his method.

The host remarked that the integral behaves like a Dirac delta function and that it is helpful to find its slopes around each of the roots of $x^3 - 3x$, namely $-\sqrt{3}, 0, \sqrt{3}$.

Answers verifying this solution and providing alternative solutions are all welcome.


Karthik Vedula's method:

Let $y = Ax$. Then \begin{align*} &\lim_{A \to \infty} \int_{-\infty}^{\infty} \frac{A}{A^2 (x^3 - 3x)^2 + 1} \, dx \\ &= \lim_{A \to \infty} \int_{-\infty}^{\infty} \frac{dy}{\Bigl( \frac{y^3}{A^2} - 3y \Bigr)^{\! 2} + 1} \\ &= \int_{-\infty}^{\infty} \frac{dy}{9y^2 + 1} \\ &= \frac{1}{3} \arctan \frac{y}{3} \biggr|_{-\infty}^{\infty} \\ &= \frac{\pi}{3}. \end{align*} The interchange of the limit and the integral can be justified using the dominated convergence theorem. (The application of DCT is incorrect; see Sangchul Lee's answer for a comprehensive discussion.)


Curiously, Mathematica gives the answer $- \frac{\pi}{3}$, which is clearly erroneous since the integrand is positive.

enter image description here

Numerical integration using $A = 10\,000\,000$, however, supports the $\frac{\pi}{3}$ result.

enter image description here

L. F.
  • 2,703
  • 4
    What is the dominating integrable function $f(y)$ providing $\frac1{(\frac{y^3}{A^2}-3y)^2+1}\leqslant f(y)$ on the interval $(-\infty;\infty)$? I would not be such optimistic about the DCT. – Svyatoslav Jan 30 '25 at 04:27
  • 1
    Then it must be a typo in the slides! – Parcly Taxel Jan 30 '25 at 04:34
  • 2
    $$\int_{-\infty }^{\infty } \frac{a}{a^2 \left(x^3-3 x\right)^2+1} , dx=\frac{\sqrt[3]{2} a^{2/3} \left(2 a^{2/3}+\sqrt[3]{2} \left(1+\sqrt{1+4 a^2}\right)^{2/3}\right) \pi }{3 \sqrt{1+4 a^2} \sqrt[3]{1+\sqrt{1+4 a^2}}}$$ for: $a>0$ – Mariusz Iwaniuk Feb 02 '25 at 11:02
  • 1
    This is an extremely nice problem in which I too faced difficulties in solving – Dev Feb 07 '25 at 07:22

7 Answers7

17

The failure of Karthik Vedula's method can be explained in many ways.

1. As other users pointed out, the use of DCT is incorrect as there is no integrable dominating function of the integrand. Indeed, for each $y \in \mathbb{R}$ there exists $A > 0$ such that

$$ \frac{y^3}{A^2} - 3y = 0. $$

Indeed, we can set $A = \frac{|y|}{\sqrt{3}}$ when $y \neq 0$, and we can choose any $A > 0$ when $y = 0$. Consequently.

$$ \sup_{A > 0} \frac{1}{\Bigl( \frac{y^3}{A^2} - 3y \Bigr)^2 + 1} = 1 $$

and this is the "minimal" dominating function for the family $\Bigl\{ \frac{1}{( (y^3/A^2) - 3y )^2 + 1} \Bigr\}_{A>0}$, which is clearly non-integrable. Hence DCT is not applicable here.

2. Of course, the failure of DCT does not necessarily imply that interchanging the order of limit and integral is not valid. So, let's take a closer look on how the integrand changes when $A$ grows. The above observation tells that the integrand has three peaks, one at $y = 0$ and the other two at $y = \pm \sqrt{3}A$. Now note that the last two peaks are pushed away towards infinity as $A \to \infty$:

enter image description here

Consequently, the "mass" concentrated about $\pm\sqrt{3}A$ are lost in the pointwise limit of the integrand as $A \to \infty$. This loss of mass accounts for the difference between the correct answer and the value obtained in Karthik Vedula's approach.


Addendum. Here is a more general version of the problem:

Theorem. Assume $f : \mathbb{R} \to \mathbb{R}$ is a $C^1$-function such that the following conditions hold:

  1. $\int_{|x| > r} \frac{\mathrm{d}x}{|f(x)|^2} < \infty$ for some $r > 0$,
  2. $f(x)$ has only finitely many zeros $x_1, \ldots, x_N$, and
  3. $f'(x_i) \neq 0$ for each $i \in [1:N]$.

Then

$$ \lim_{A \to \infty} \int_{-\infty}^{\infty} \frac{A}{A^2f(x)^2 + 1} \, \mathrm{d}x = \pi \sum_{i=1}^{N} \frac{1}{|f'(x_i)|}. $$

Intuitively, this is because $\frac{A}{(Ay)^2 + 1}$ "converges to" $\pi \delta(y)$, hence

$$ \lim_{A \to \infty} \int_{-\infty}^{\infty} \frac{A}{A^2f(x)^2 + 1} \, \mathrm{d}x = \pi \int_{-\infty}^{\infty} \delta(f(x)) \, \mathrm{d}x = \pi \sum_{i=1}^{N} \frac{1}{|f'(x_i)|}. $$

To make this claim more rigorous, let $\delta > 0$ be such that

  1. the open intervals $B_\delta(x_i) = (x_i-\delta, x_i+\delta)$ are disjoint, and

  2. each restriction $f_i = f|_{B_{\delta}(x_i)}$ is a $C^1$-bijection from $B_\delta(x_i)$ to its image $f(B_\delta(x_i))$ with $C^1$-inverse for each $i \in [1:N]$.

Such a $\delta > 0$ exists by the inverse function theorem. For simplicity, write $U = \bigcup_{i=1}^{N} B_\delta(x_i)$. Then

$$ \begin{align*} &\int_{-\infty}^{\infty} \frac{A}{A^2f(x)^2 + 1} \, \mathrm{d}x \\ &= \sum_{i=1}^{N} \int_{B_\delta(x_i)} \frac{A}{A^2f(x)^2 + 1} \, \mathrm{d}x + \int_{B_r(0) \setminus U} \frac{A}{A^2f(x)^2 + 1} \, \mathrm{d}x + \int_{B_r(0)^c \setminus U} \frac{A}{A^2f(x)^2 + 1} \, \mathrm{d}x, \end{align*} $$

where $r > 0$ is as in the statement of the theorem. Now we estimate each term separately:

  • For each $i$, substituting $y = A f_i(x)$ yields $$ \begin{align*} \int_{B_\delta(x_i)} \frac{A}{A^2f(x)^2 + 1} \, \mathrm{d}x &= \int_{A\cdot f(B_\delta(x_i))} \frac{|(f_i^{-1})'(y/A)|}{y^2 + 1} \, \mathrm{d}y. \end{align*} $$ Note that $f(B_\delta(x_i))$ is an open interval containing $0$, hence $A\cdot f(B_\delta(x_i))$ expands to $(-\infty, \infty)$ as $A \to \infty$. So by DCT, $$ \begin{align*} \lim_{A\to\infty} \int_{B_\delta(x_i)} \frac{A}{A^2f(x)^2 + 1} \, \mathrm{d}x &= \int_{-\infty}^{\infty} \frac{|(f_i^{-1})'(0)|}{y^2 + 1} \, \mathrm{d}y = \frac{\pi}{|f'(x_i)|}. \end{align*} $$

  • For the second term, note that $$ m := \inf_{x \in B_r(0) \setminus U} |f(x)| > 0. $$ (To see why, apply the extremum value theorem to the continuous function $|f|$ on the compact set $\overline{B_r(0)} \setminus U$.) Consequently, $$ \left| \int_{B_r(0) \setminus U} \frac{A}{A^2f(x)^2 + 1} \, \mathrm{d}x \right| \leq \int_{B_r(0) \setminus U} \frac{A}{A^2m^2 + 1} \, \mathrm{d}x \leq \frac{2rA}{A^2m^2 + 1} \to 0. $$

  • For the last integral, $$ \int_{B_r(0)^c \setminus U} \frac{A}{A^2f(x)^2 + 1} \, \mathrm{d}x \leq \int_{B_r(0)^c} \frac{A}{A^2f(x)^2} \, \mathrm{d}x = \frac{1}{A} \int_{B_r(0)^c} \frac{\mathrm{d}x}{f(x)^2} \to 0. $$

Combining altogether, the desired claim follows.

Sangchul Lee
  • 181,930
9

To the nice posted solutions we can add one more - the one where the complex integration is used. Although such approach, probably, is not within the frames of the contest, it allows to get the answer quickly, also providing the tool for the integral evaluation with the required accuracy (i.e. smaller corrections evaluation).

Let's take $a>0$ and consider $$I(a,A)=\int_{-\infty}^\infty\frac{A}{A^2(x^3-a^2x)^2+1}dx=\int_{-\infty}^\infty\frac{\frac1A}{x^2(a^2-x^2)^2+\frac1{A^2}}dx$$ Denoting $\,\frac1A=\epsilon$ $$I(a,\epsilon)=\int_{-\infty}^\infty\frac\epsilon{x^2(a^2-x^2)^2+\epsilon^2}dx=\Im\,\int_{-\infty}^\infty\frac{dx}{x(\color{red}x^2-\color{red}a^2)-i\epsilon}dx$$ The polynomial in the denominator has three complex roots $x_1, \,x_2,\,x_3$ $$I(a,\epsilon)=\Im\,\int_{-\infty}^\infty\frac{dx}{(x-x_1)(x-x_2)(x-x_2)}dx$$ We have three equations to find the roots: $$x_1+x_2+x_3=0; \quad x_1x_2+x_2x_3+x_1x_3=-a^2;\quad x_1x_2x_3=i\epsilon$$ Solving the equations by iterations (i.e. $x=x^{(0)}+x^{(1)}+x^{(2)}+\dotsb$) $$x_1=-\frac{i\epsilon}{a^2} +O(\epsilon^3)$$ $$x_2=a+\frac{i\epsilon}{2a^2}+\frac38\frac{\epsilon^2}{a^5} +O(\epsilon^3)$$ $$x_3=-a+\frac{i\epsilon}{2a^2}-\frac38\frac{\epsilon^2}{a^5} +O(\epsilon^3)$$ Closing the contour in the upper half plane we get two simple poles (at $x_2$ and $x_3$; alternatively, closing the contour in the lower half-plane we get one pole at $x_1$ - this is your choice how to integrate). The residues evaluation is straightforward: $$I(a,\epsilon)=4\pi\,\Re\,\frac1{2a+\frac34\frac{\epsilon^2}{a^5}}\,\frac1{a+\frac38\frac{\epsilon^2}{a^5}+\frac{3i\epsilon}{2a^2}}+O(\epsilon^3)$$ $$I=\frac{2\pi}{a^2}\left(1-\frac{3\epsilon^2}{a^6}+O(\epsilon^3)\right)=\frac{2\pi}{a^2}\left(1-\frac3{a^6A^2}+O\Big(\frac1{A^3}\Big)\right)$$

Svyatoslav
  • 20,502
  • 1
    Svyatoslav, thanks for the contour integral approach! I appreciate the generalizability of this method to a large family of similar integrals and to arbitrary $O(A^{-n})$ precision. I think the $\epsilon$ terms in your expressions for $x_1, x_2, x_3$ all have the wrong sign (perhaps you solved $x(x^2 - a^2) - i \epsilon = 0$ instead of $x(a^2 - x^2) - i \epsilon = 0$?), although this does not affect the correctness of the method. – L. F. Feb 01 '25 at 16:29
  • 1
    Thank you for catching this! In fact, I made a typo in the second line (should be $\Im,\int_{-\infty}^\infty\frac{dx}{x(x^2-a^2)-i\epsilon}dx$). You are right - the roots are found for $x(x^2-a^2)-i\epsilon$. Correcting – Svyatoslav Feb 01 '25 at 16:45
  • That explains it! Since the imaginary parts of $\frac{1}{x(x^2 - a^2) - i\epsilon}$ and $\frac{1}{x(a^2 - x^2) - i\epsilon}$ are the same, this seems to imply that the result is invariant under the substitution $\epsilon \mapsto -\epsilon$, namely that the final asymptotic for $I$ only contains even powers of $\epsilon$ (and thus $A$). – L. F. Feb 01 '25 at 17:00
  • 1
    Yes, I think this is the case. I wrote the error as $O\Big(\frac1{A^3}\Big)$, but I expect it is $O\Big(\frac1{A^4}\Big)$ in fact. – Svyatoslav Feb 01 '25 at 17:05
8

Let $I$ be the integral given by $I=\int_{-\infty}^\infty \frac{A}{A^2(x^3-3x)^2+1}\,dx$. Then, choosing any $\delta\in (0,\sqrt3)$, we can write

$$\begin{align} I&=\int_{-\infty}^\infty \frac{A}{A^2(x^3-3x)^2+1}\,dx\\\\ &=2\int_0^\infty \frac{A}{A^2(x^3-3x)^2+1}\,dx\\\\ &=2\int_0^\delta \frac{A}{A^2(x^3-3x)^2+1}\,dx\\\\ &+2\int_\delta^{\sqrt 3-\delta} \frac{A}{A^2(x^3-3x)^2+1}\,dx\\\\ &+ 2\int_{\sqrt3 -\delta}^{\sqrt3+\delta} \frac{A}{A^2(x^3-3x)^2+1}\,dx\\\\ &+ 2\int_{\sqrt3 +\delta}^\infty \frac{A}{A^2(x^3-3x)^2+1}\,dx\tag1 \end{align}$$

As $A\to \infty$, the second and fourth terms on the right-hand side of $(1)$ vanish.



To evaluate the first integral on the right-hand side of $(1)$, we note that near $x=0$, $A^2(x^3-3x)^2+1$ is approximately equal to $9A^2x^2+1$. Thus, we write

$$\begin{align} \int_0^\delta \frac{A}{A^2(x^3-3x)^2+1}\,dx&=\int_0^\delta \left(\frac{A}{A^2(x^3-3x)^2+1}-\frac{A}{9A^2x^2+1}\right)\,dx\\\\ &+\int_0^\delta \frac{A}{9A^2x^2+1}\,dx\\\\ &=\int_0^\delta \left(\frac{A}{A^2(x^3-3x)^2+1}-\frac{A}{9A^2x^2+1}\right)\,dx\\\\ &+\frac13 \arctan(3A\delta)\tag2 \end{align}$$

As $A\to \infty$, the integral on the right-hand side of $(2)$ vanishes (since the term in parantheses is $O(1/A)$) while the second term tends to $\pi/6$



Similarly, we note that near $x=\sqrt3$, $A^2(x^3-3x)^2+1$ is approximately equal to $36A^2(x-\sqrt3)^2+1$. Hence, we find that the limit of the third integral on the right-hand side of $(3)$ is equal to $\pi/6$ also.

Putting it all together, we find that

$$\lim_{A\to\infty}\int_{-\infty}^\infty \frac{A}{A^2(x^3-3x)^2+1}\,dx=\frac{2\pi}3$$

as was to be shown!

Mark Viola
  • 184,670
  • Mark, thanks for the answer! I wonder if there is an easier way to see that the integrand in $(2)$ is uniformly $O(1/A)$ for $0 < x < \delta$ than expanding out the fractions. Since $$\frac{A}{f(A, x)} - \frac{A}{g(A, x)} = \frac{A (g(A, x) - f(A, x))}{f(A, x) g(A, x)},$$ it would been sufficient if we had $f(A, x) - g(A, x) \in O(A^2)$ and ${f(A, x), g(A, x)} \subset \Omega(A^2)$, but the latter does not hold uniformly near $0$. – L. F. Feb 01 '25 at 15:45
  • 1
    @L.F. You're welocme. My pleasure. Brute force is the way I chose. It seemed natural, straightforward, and not difficult here. One could develop asymptotic expansions and subtract. But that is likely more tedious – Mark Viola Feb 01 '25 at 15:51
  • @L.F.: the general idea is that of you have tow nice functions $f,g$ and $g(a)=0$ then $f(x)g(x)+constant$ is roughly the same as $f(a)g(x)+constant$ near $x=a$. – Mittens Feb 01 '25 at 16:25
  • Hi @Mittens, I understand the general idea. I am thinking about cases such as $$\frac{A}{2 A^2 (e^x - x - 1) + 1} - \frac{A}{A^2 x^2 + 1} = \frac{1}{A} \biggl( \frac{1}{2(e^x - x - 1)} - \frac{1}{x^2} \biggr) + O \biggl( \frac{1}{A^3} \biggr),$$which would not be uniformly $O(\frac{1}{A})$ on $(0, \delta)$ since the coefficient of $\frac{1}{A}$ goes to $-\infty$ as $x \to 0^+$. – L. F. Feb 01 '25 at 16:44
  • 1
    @Mittens Of course. I've corrected the typographical error. Much appreciated! – Mark Viola Feb 01 '25 at 16:48
  • As I was writing my previous comment, I realized that $$\frac{A}{f(x) A^2 + 1} - \frac{A}{g(x) A^2 + 1} = \frac{g(x) - f(x)}{A f(x) g(x)} + O \Bigl( \frac{1}{A^3} \Bigr),$$which is $O(\frac{1}{A})$ as long as the coefficient of $\frac{1}{A}$ is bounded. In our case, we have $f(x) = x^2 (x^2 - 3)^2$ and $g(x) = 9 x^2$, meaning $g(x) - f(x) \in O(x^4)$ and $f(x) g(x) \in \Omega(x^4)$, so everything is good. – L. F. Feb 01 '25 at 16:53
4

$\newcommand{\bbx}[1]{\,\bbox[15px,border:1px groove navy]{\displaystyle{#1}}\,} \newcommand{\braces}[1]{\left\lbrace\,{#1}\,\right\rbrace} \newcommand{\bracks}[1]{\left\lbrack\,{#1}\,\right\rbrack} \newcommand{\dd}{\mathrm{d}} \newcommand{\ds}[1]{{\displaystyle #1}} \newcommand{\expo}[1]{\,\mathrm{e}^{#1}\,} \newcommand{\ic}{\mathrm{i}} \newcommand{\iverson}[1]{\left[\left[\,{#1}\,\right]\right]} \newcommand{\on}[1]{\operatorname{#1}} \newcommand{\pars}[1]{\left(\,{#1}\,\right)} \newcommand{\partiald}[3][]{\frac{\partial^{#1} #2}{\partial #3^{#1}}} \newcommand{\root}[2][]{\,\sqrt[#1]{\,{#2}\,}\,} \newcommand{\sr}[2]{\,\,\,\stackrel{{#1}}{{#2}}\,\,\,} \newcommand{\totald}[3][]{\frac{\mathrm{d}^{#1} #2}{\mathrm{d} #3^{#1}}} \newcommand{\verts}[1]{\left\vert\,{#1}\,\right\vert}$ \begin{align} & \color{#44f}{\lim_{A\ \to\ \infty}\ \int_{-\infty}^{\infty}{A \over A^{2}\pars{x^{3} - 3x}^{2} + 1}\dd x} \\[5mm] = & \ \pi\lim_{A\ \to\ 0^{+}}\ \int_{-\infty}^{\infty}{A/\pi \over \pars{x^{3} - 3x}^{2} + A^{2}}\dd x \end{align} However, $\ds{{A/\pi \over \pars{x^{3} - 3x}^{2} + A^{2}}}$ is a "representation" of a Delta Dirac as $\ds{A\ \to\ 0^{+}}$ which is related to de $\ds{Poisson\ Kernel}$. Fine details are given in the above mentioned link.

Therefore, \begin{align} & \color{#44f}{\lim_{A\ \to\ \infty}\ \int_{-\infty}^{\infty}{A \over A^{2}\pars{x^{3} - 3x}^{2} + 1}\dd x} = \pi\int_{-\infty}^{\infty}\delta\pars{x^{3} - 3x}\dd x \\[5mm] = & \ \pi\int_{-\infty}^{\infty}\bracks{{\delta\pars{x} \over \verts{3x^{2} - 3}} + {\delta\pars{x + \root{3}} \over \verts{3x^{2} - 3}} + {\delta\pars{x - \root{3}} \over \verts{3x^{2} - 3}}}\dd x \\[5mm] = & \ \pi\pars{{1 \over 3} + {1 \over 6} + {1 \over 6}} = \bbx{\color{#44f}{2\pi \over 3}} \approx 2.0944 \\ & \end{align}

Felix Marin
  • 94,079
  • 1
    Thanks Felix! This is a nice abstraction of Sangchul Lee's answer through the systematic lens of representations and identities for the Dirac delta function. – L. F. Feb 01 '25 at 17:23
3

We need to evaluate the limit $$\lim_{A \to \infty} \int_{-\infty}^{\infty} \frac{A}{A^2 (x^3 - 3x)^2 + 1} \, dx$$ Let the integral be $$I(A) = \int_{-\infty}^{\infty} f_A(x) \, dx, \quad \text{where} \quad f_A(x) = \frac{A}{A^2 (x^3 - 3x)^2 + 1}$$

As $A \to \infty$, the term $A^2 (x^3 - 3x)^2$ dominates the denominator unless $x^3 - 3x = 0$. The roots of $x^3 - 3x = 0$ are $\sqrt3,0,-\sqrt3$

Thus, the function $f_A(x)$ is significant only near these roots. We approximate the integral by focusing on small neighborhoods around each root.


Around $x=0$

Near $x = 0$, $x^3$ is negligible compared to $x$, so $x^3 - 3x \approx -3x$

Thus, the denominator becomes $A^2 (-3x)^2 + 1 = 9A^2 x^2 + 1$

So, the function near $x = 0$ is approximately, $$f_A(x) \approx \frac{A}{9A^2 x^2 + 1}$$ Let $u = 3A x$, so $du = 3A \, dx$, and $dx = \frac{du}{3A}$. The integral near $x = 0$ becomes $$\int_{-\epsilon}^{\epsilon} \frac{A}{9A^2 x^2 + 1} \, dx = \int_{-3A\epsilon}^{3A\epsilon} \frac{A}{u^2 + 1} \cdot \frac{du}{3A} = \frac{1}{3} \int_{-3A\epsilon}^{3A\epsilon} \frac{1}{u^2 + 1} \, du$$ As $A \to \infty$, $3A\epsilon \to \infty$, so the integral becomes $$\frac{1}{3} \int_{-\infty}^{\infty} \frac{1}{u^2 + 1} \, du = \frac{1}{3} \cdot \pi = \frac{\pi}{3}$$


Around $x=\sqrt3$

Near $x = \sqrt{3}$, let $x = \sqrt{3} + h$, where $h$ is small. Then $x^3 - 3x \approx 6h$

Thus, the denominator becomes $A^2 (6h)^2 + 1 = 36A^2 h^2 + 1$

So, the function near $x = \sqrt{3}$ is approximately $$f_A(x) \approx \frac{A}{36A^2 h^2 + 1}$$ Let $u = 6A h$, so $du = 6A \, dh$, and $dh = \frac{du}{6A}$. The integral near $x = \sqrt{3}$ becomes $$\int_{-\epsilon}^{\epsilon} \frac{A}{36A^2 h^2 + 1} \, dh = \int_{-6A\epsilon}^{6A\epsilon} \frac{A}{u^2 + 1} \cdot \frac{du}{6A} = \frac{1}{6} \int_{-6A\epsilon}^{6A\epsilon} \frac{1}{u^2 + 1} \, du$$ As $A \to \infty$, $6A\epsilon \to \infty$, so the integral becomes $$\frac{1}{6} \int_{-\infty}^{\infty} \frac{1}{u^2 + 1} \, du = \frac{1}{6} \cdot \pi = \frac{\pi}{6}$$


Around $x = -\sqrt{3}$

The situation near $x = -\sqrt{3}$ is symmetric to $x = \sqrt{3}$. By a similar argument, the contribution to the integral near $x = -\sqrt{3}$ is also $\frac{\pi}{6}$.


The total integral $I(A)$ is approximately the sum of the contributions from around each root $$I(A) \approx \frac{\pi}{3} + \frac{\pi}{6} + \frac{\pi}{6} = \frac{\pi}{3} + \frac{\pi}{3} = \frac{2\pi}{3}$$

Since this approximation becomes exact as $A \to \infty$, we have $$\lim_{A \to \infty} I(A) = \frac{2\pi}{3} $$

3

The mistake with Karthik's method is where he interchanged the limit $A→∞$ and the integral. This interchange is not valid in this case because the integrand $$\frac{1}{\left(\frac{y^3}{A^2}-3y\right)^2+1}$$ does not converge uniformly to $\frac{1}{9y^2+1}$ as $A\to\infty$

This non-uniform convergence means you cannot simply take the limit inside the integral. The Dominated Convergence Theorem (DCT) does not apply here because there is no integrable function that dominates the integrand for all $A$.

2

Split the integral like so:

$$I = \int_{-\infty}^{-\frac{\sqrt{3}}{2}}\frac{Adx}{A^2(x^3-3x)^2+1}+ \int_{-\frac{\sqrt{3}}{2}}^{\frac{\sqrt{3}}{2}}\frac{Adx}{A^2(x^3-3x)^2+1} + \int_{\frac{\sqrt{3}}{2}}^\infty\frac{Adx}{A^2(x^3-3x)^2+1}$$

or with even symmetry we can simplify as

$$I = \int_{-\frac{\sqrt{3}}{2}}^{\frac{\sqrt{3}}{2}}\frac{Adx}{A^2(x^3-3x)^2+1} + 2\int_{\frac{\sqrt{3}}{2}}^\infty\frac{Adx}{A^2(x^3-3x)^2+1}$$

Then use the substitutions $y=Ax$ and $y=A(x-\sqrt{3})$, respectively, for the integrals

$$I = \int_{-\frac{A\sqrt{3}}{2}}^{\frac{A\sqrt{3}}{2}}\frac{dy}{\left(\frac{y^3}{A^2}-3y\right)^2+1} + 2\int_{-\frac{A\sqrt{3}}{2}}^\infty\frac{dy}{\left(\frac{y^3}{A^2}+\frac{3\sqrt{3}y^2}{A}+6y\right)^2+1}$$

and take the limits

$$\longrightarrow \int_{-\infty}^\infty \frac{dy}{9y^2+1}+\int_{-\infty}^\infty\frac{2dy}{36y^2+1} = \boxed{\frac{2\pi}{3}}$$

by dominated convergence.

Ninad Munshi
  • 37,891
  • Hi Ninad, I don't think that DCT works in the way you describe since we face the same problem explained in Sangchul Lee's answer: the dominating function for the family $$\left{\frac{1}{\Bigl( \frac{y^3}{A^2} - 3y \Bigr)^{! 2} + 1}\right}_{A > A_0}$$ is at least $1$ for all $y$ in a neighborhood of $\pm \infty$ and thus nonintegrable. Perhaps there is different way to justify splitting of the domain to isolate the poles $0$ and $\sqrt{3}$? Sangchul used the inverse function theorem followed by DCT, and Mark used an asymptotic estimate for the integrand. – L. F. Feb 01 '25 at 17:36
  • @L.F. Could you explain to me why the split doesn't work? The intervals isolate each pole so the contribution to the integral from the original integrand anywhere other than the original pole should vanish in the limit. – Ninad Munshi Feb 05 '25 at 19:59
  • The split works in the sense that it produces the correct answer, but we would need a justification other than the DCT (which does not work for the reasons I wrote in my last comment), possibly by making rigorous the notion of isolating the poles. I'm looking for a justification that tell us why this split works while Karthik Vedula's does not. – L. F. Feb 05 '25 at 20:09
  • No, what I'm asking is why do you think the limiting function (times some constant) not also work as the dominating function on both intervals? I don't see the same problem of a nonmeasureable dominating function once you cut the interval, so I thought I eliminated the condition that created that situation. – Ninad Munshi Feb 05 '25 at 20:15
  • Ah, I see your point — because of the truncated domains, it looks like the family $$ \left{\frac{1_{|y| < \frac{A\sqrt{3}}{2}}}{\Bigl( \frac{y^3}{A^2} - 3y \Bigr)^{! 2} + 1}\right}{A > A_0} $$ is dominated by the integrable function $$ \frac{2}{9y^2 + 1}, $$ and the family $$ \left{\frac{1{y > \frac{A\sqrt{3}}{2}}}{\Bigl( \frac{y^3}{A^2} + \frac{3 \sqrt{3} y^2}{A} + 6y \Bigr)^{! 2} + 1}\right}_{A > A_0} $$ is dominated by the integrable function $$ \frac{8}{36 y^2 + 1}. $$ I think it would great if you could expand your answer with how to see this. – L. F. Feb 05 '25 at 20:41