I am working for an Electrical Impedance Tomography(EIT) project and my background is basically algebra and number theory, so I'm having some problems with this project.
Firstly, what is EIT: Electrical Impedance Tomography (EIT) is a non-invasive imaging technique that reconstructs an image of the interior conductivity of a body by applying electrical currents and measuring the resulting voltage patterns on the body's surface.
Secondly, what is like this project: We connect 16 electrodes equally spaced in a single layer to a 3-D cylinder, apply current to them one by one, and measure the voltage between the electrodes. Then, by using these measured voltages, we try to find the interior conductivity distribution of the cylinder.
And lastly, what is my main aim here: Investigate and understand whether there is an "analytical" reconstruction method for this 3-D model and finally apply it.
You can see the "Complete Electrode Model", which is the method we will use for this project, below:
For a given conductivity distribution $\sigma(x)$, the potential $\phi(x)$ satisfies the equation:
\begin{align} \nabla \cdot (\sigma \nabla \phi) = 0 \\ I_k = \int_{E_k} \sigma \frac{\partial \phi}{\partial n} dS \quad \text{for} \quad k = 1, 2, ..., N \\ \sigma(r) \frac{\partial \phi(r)}{\partial n} = 0 \quad \text{for} \quad r \in \partial \Omega \setminus \bigcup_{k=1}^{N} E_k \end{align}
where $I_k$ is the total current of each electrode and $n$ is the unit normal vector to the boundary.
The electrode voltage potential $U_k$ can be expressed as:
\begin{align} U_k = \phi + p_k \sigma \frac{\partial \phi}{\partial n} \quad \text{for} \quad k = 1, 2, ..., N \end{align}
The charge conservation law requires that the electrode currents and setting a ground level to stabilize the solution through:
\begin{align} \sum_{k=1}^{N} I_k &= 0 \\ \sum_{k=1}^{N} U_k &= 0 \end{align}
This is basically the model that creates our forward problem. We are using the Finite Element Method(FEM) to solve this problem. My question is for the next step which is the "inverse problem".
After about 2 months of literature review, I decided to focus on one method and first understand it and think about its applicability: this method is the Calderon Method. You can see a short sketch process for this method below.
First we define the DN-map and convert the first equation above(Laplace Equation) to another equation(Schrodinger Equation):
$$\Lambda_\sigma: u\mapsto \sigma\frac{\partial{u}}{\partial{n}}$$ $$ [-\triangle + q(z)]\widetilde{u} = 0 $$
Then, compute a scattering transform of $\widetilde{u}$:
$$ t(\xi,\zeta) = \int_{\Omega} e^{-ix(\xi+\zeta)}\psi(x,\zeta)q(x)dx $$ , where $\psi(x,\zeta)$ is the Complex Geometrical Optics(CGO) solution.
Finally, apply Inverse Fourier Transform(IFT) to solve the boundary value problem for conductivity:
$$t(\xi,\zeta) = \int_{\partial\Omega} e^{-ix(\xi+\zeta)}q(x)\psi(x,\zeta)dx$$
I am trying to solve the mathematical equations behind this algorithm. First of all, I want to say that our inverse problem here is:
$$ \sigma(x) = 1 + \mathcal{F}^{-1}\left( -\frac{1}{2\pi |k|^2} a_{k}^{t} T b_{k,\sigma} \right) $$
I don't want to make things even more confusing by explaining every single thing here. Coming to my question slowly, first of all they have created a "Current Pattern" formulation, you can see it in the image below:

Here we see the $i-th$ current pattern $I_{i}^{l}$ applied to each $l-th$ electrode and $M$ is the amplitude of the applied current.
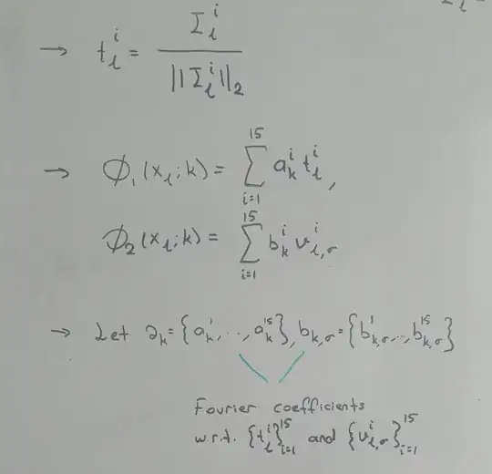
My question is: How can I calculate the "Fourier Coefficients" which you can see in the image below:

, where $\phi_{1}(x;k)=exp({\pi}ik.x+{\pi}k^{\perp}.x)$, $\phi_{2}(x;k)=exp({\pi}ik.x-{\pi}k^{\perp}.x)$, $.$ denotes Euclidean inner product, $x=(x_1,x_2)$ is the spatial variable for the domain, the vector $k=(k_1,k_2)$ and the vector $k^{\perp}=(-k_2,k_1)$, perpendicular to k, are non-physical frequency variables.
\cdotto make a centered dot for a product symbol. For example,a\cdot b→ $a\cdot b$. – CiaPan Aug 08 '24 at 13:22