69

I have heard that two permutations are conjugate if they have the same cyclic structure. Is there an intuitive way to understand why this is?

Han Solo
  • 691
  • 8
    Have you read a proof of this fact, and found it to be unintuitive? – Jonas Meyer Jun 28 '11 at 03:56
  • 4
    @Zaz That's not how conjugates are defined. If $a b = b c \implies b^{-1} a b = c \text{ for } a,b,c \in G$ then $a$ and $c$ are said to be conjugates. You're example just shows that $(12)$ and $(12)$ are conjugates i.e. they lie in the same conjugacy class, which is trivial. For $(12)$ to be conjugate with $(1)$ you have to show the existence of some $g \in G$ such that $g^{-1} (12) g = (1)$ and no such $g$ exists, hence $(12)$ and $(1)$ are not conjugates. – Aditya Sriram Sep 15 '18 at 08:46

5 Answers5

79

It's much like with linear transformations: conjugating a matrix amounts to a "change of basis", a translation from one basis to another, but similar matrices still represent the same linear transformation.

Conjugating by a permutation amounts to "translating" into new labels for the elements being permuted, so "similar permutations" (conjugate permutations) must represent the same underlying "shuffling" of the elements of the set, just under possibly different names.

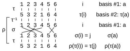
Formally: Suppose that $\sigma$ and $\tau$ are permutations.

Claim. Let $\rho = \tau\sigma\tau^{-1}$ (multiplication corresponding to composition of functions). If $\sigma(i)=j$, then $\rho(\tau(i)) = \tau(j)$. In particular, the cycle structure of $\rho$ is the same as the cycle structure of $\sigma$, replacing each entry $a$ with $\tau(a)$.

Proof. $\rho(\tau(i)) = \tau\sigma\tau^{-1}\tau(i) = \tau\sigma(i) = \tau(j)$. QED.

Conversely, suppose that $\sigma$ and $\rho$ have the same cycle structure. List the cycles of $\sigma$ above the cycles of $\rho$, aligning cycles of the same length with one another. Now interpret this as the two-line presentation of a permutation, and call it $\tau$; then $\tau\sigma\tau^{-1}=\rho$ by the claim.

For example, if $\sigma=(1,3,2,4)(5,6)$ and $\rho=(5,2,3,1)(6,4)$, then write $$\begin{array}{cccccc} 1&3&2&4&5&6\\ 5&2&3&1&6&4 \end{array}$$ Then we let $\tau$ be the permutation $1\mapsto 5$, $3\mapsto 2$, $2\mapsto 3$, $4\mapsto 1$, $5\mapsto 6$, and $6\mapsto 4$. Then by the claim above, $\tau\sigma\tau^{-1}=\rho$. (Note. As Gerry Myerson notes, if we aren't working in all of $S_n$, we may not have $\tau$ in whatever subgroup we happen to be working in; so there is an implicit assumption for the "if" part that we are working in $S_n$).

Arturo Magidin
  • 417,286
  • I see that you've used $\rho = \tau \sigma \tau^{-1}$ over what the other answer (by Alon Amit) has used $\rho = \tau^{-1} \sigma \tau$. I'm confused. The latter notation ($\tau^{-1} \sigma \tau$) intuitively means, relabel > shuffle > un-relabel, but how do I read your notation $\tau \sigma \tau^{-1}$? Un-relabel > shuffle > relabel? I know both are equivalent by setting $\tau^{-1}= \alpha$ but still how does one read and understand it intuitively? – William Nov 03 '21 at 13:12
  • @William: Amit is actually using $f$ as the inverse of the relabeling, if you read his answer carefully, so though his notation seems to clash with mine, it is actually exactly the same, both now and 10 years ago when I wrote that. If $\tau$ relabels, then you first need to un-relabel so you can apply $\sigma$ (which doesn't understand the re-labeled things), then permute, then relabel. – Arturo Magidin Nov 03 '21 at 13:25
  • 1
    @William: Think of it this way: $\sigma$ understands English. $\tau$ translates from English to Russian. You want to understand russian using $\sigma$. So first you translate Russian to English ($\tau^{-1}$), then you understand it ($\sigma$), then you translate it back to Russian ($\tau$). The result of $\tau\sigma\tau^{-1}$ is in the new labeling, so it should be the latter of your sequences, not the former. – Arturo Magidin Nov 03 '21 at 17:19
  • Thanks for the response! Let me see if I understand you correctly. $\sigma$ and $\rho$ are defined on same sets but just for distinction, say $\sigma : X_1 \to X_1$ and $\rho: X_2 \to X_2$ where $X_1=X_2$. So $\tau$ is relabelling set of $\sigma$ ie $X_1$ with set of $\rho$ ie $X_2$ (again $X_1$ and $X_2$ are same) so $\tau : X_1 \to X_2$ and so $\tau^{-1}: X_2 \to X_1$ hence, $\tau \sigma \tau^{-1}$ first relabels $X_2$ back using $X_1$ then $\sigma$ permutes $X_1$ then $\tau$ labels $X_1$ using $X_2$ so in a way, $\sigma$ of $X_1$ is the same as $\rho$ of $X_2$ under $\tau$. Is this correct? – William Nov 03 '21 at 23:45
  • 2
    @William: Yes; in the standard setting, $\sigma$ acts on ${1,2,\ldots,n}$, and you want to act on ${\tau(1),\tau(2),\ldots,\tau(n)}$. – Arturo Magidin Nov 04 '21 at 00:49
32

Warning: the permutations are conjugate $\bf in\ S_n$ if they have the same cycle structure. This may not be true in subgroups of $S_n$. For example, $A_4$ is the alternating group on 4 symbols, it consists of the even permutations in $S_4$. The elements $(1\ 2\ 3)$ and $(1\ 3\ 2)$ of $A_4$ have the same cycle structure, but they are not conjugate in $A_4$. That is, there are elements $g$ in $S_4$ such that $g^{-1}(1\ 2\ 3)g=(1\ 3\ 2)$, but there is no such element in $A_4$.

Gerry Myerson
  • 185,413
  • 1
    Thank you for your answer, sir. How can we see that for a cycle we have the equation $r(i_1,i_2,\dots,i_k)r^{−1}=(r(i_1),r(i_2),\dots,r(i_k))$? – superAnnoyingUser Jun 22 '14 at 13:30
  • 2
    Why don't you post that as a question, instead of hiding it in a comment on an old answer? – Gerry Myerson Jun 22 '14 at 23:08
  • Very well, I'll ask my question in a separate post. I "hid" it in a comment becouse of this thread. – superAnnoyingUser Jun 23 '14 at 05:49
  • @Student - where did you asked the question? I can't find it! I had to asked again in http://math.stackexchange.com/questions/1700180/why-c%E2%88%921a-1-a-2-dots-a-kc-ca-1-ca-2-ca-k?noredirect=1#comment3469997_1700180 but no answer yet (for such a widely used formula no proof!). –  Mar 16 '16 at 14:42
  • I don't remember, but you can look through my questions, @Liebe. – superAnnoyingUser Mar 18 '16 at 22:22
25

The intuitive way to see this is to realize that "conjugation" in a permutation group is the same as "renaming". Take some permutation; conjugate it by (1 2), the permutation that swaps 1 and 2; what's the result? Calculate a few examples, and you'll see that the result is the same as the original permutation with 1 and 2 changing roles.

Another good way to understand this is to separate the domains of the permutation and the conjugation. If $A$ is a set and $\sigma$ is some permutation of the objects of $A$ (take $A=\{1,2,\ldots, n\}$ for example), imagine there's a new set $Z$ of the same cardinality as $A$ and a one-to-one, onto mapping $f:Z\to A$. What is $f^{-1} \sigma f$? It's a function on $Z$ which first maps everything to $A$, permutes according to $\sigma$, and maps back along the same "mapping lines" as $f$. It should be relatively obvious that the result "does to $Z$ exactly what $\sigma$ does to $A$". Again, working out a few small examples should help.

So, conjugation in $S_n$ is the same thing only when $Z$ happens to be the same set as $A$; the "names" and the "objects" are one and the same.

Alon Amit
  • 16,091
8

Suppose $\rho=\pi\sigma\pi^{-1}$, for any $m\in Z$, we have $\rho^m=\pi\sigma^m\pi^{-1}$, i.e. $\rho^m\pi=\pi\sigma^m$. For a cycle $(i,\sigma(i),\ldots,\sigma^{r-1}(i))$, we have $$(\pi(i),\pi\sigma(i),\ldots,\pi\sigma^{r-1}(i)) =(j,\rho(j),\ldots,\rho^{r-1}(j))$$ where $j=\pi(i)$. This is intuitive, isn't it?

Joshiwa
  • 105
1

Arturo's answer is excellent, but the example from it makes little sense if you're thinking in two-line notation:

two-line

Let's remove the arrow heads (because these are bijections) and "shuffle" as a semantically different kind of operation than relabeling:

with-shuffle

Alon's answer suggested thinking in separate sets, which we can emphasize with separate symbols:

permute-sets

See Symmetric group § Conjugacy classes for a similar proof.