Take a groupoid $\mathcal{C} \in \mathbf{Grpd}$. It's possible to construct a conjugation functor $F_{\mathcal{C} } : \mathcal{C} \to \mathbf{Grp}$ as follows:
- For every object $x \in \text{ob}(\mathcal{C})$, $F_{\mathcal{C} }(x) = \text{Hom}_{\mathcal{C} }(x, x)$ considered as a group. This is the standard way to think of groups as one-object groupoids.
- For every morphism $f : x \to y$, the corresponding group homomorphism $F_{\mathcal{C} }(f) : \text{Hom}_{\mathcal{C} }(x, x) \to \text{Hom}_{\mathcal{C} }(y, y)$ is constructed by conjugation. Specifically, $F_{\mathcal{C} }(f)(g) = f \circ g \circ f^{-1}$ for $g \in \text{Hom}_{\mathcal{C} }(x, x)$. Here it's important that $\mathcal{C}$ is a groupoid so that $f^{-1} : y \to x$ exists (and is unique).
This can be verified to be a functor. But there's more.
Take a groupoid morphism $G : \mathcal{C}_1 \to \mathcal{C}_2$ between two groupoids in $\mathbf{Grpd}$. It turns out that there always exists a natural transformation $\eta^G : F_{\mathcal{C}_1} \to F_{\mathcal{C}_2} \circ G$. This is constructed by seeing that $G$ turns $\text{Hom}_{\mathcal{C}_1}(x, x)$ into a subset of $\text{Hom}_{\mathcal{C}_2} (G(x), G(x))$, and $G$ being a groupoid morphism (so a functor between $\mathcal{C}_1$ and $\mathcal{C}_2$) means that this is a group homomorphism. And it turns out this group homomorphism makes the appropriate diagrams for a natural transformation commute.
Furthermore, these natural transformations "play nicely with each other", in the sense that if $G : \mathcal{C}_1 \to \mathcal{C}_2$ and $H : \mathcal{C}_2 \to \mathcal{C}_3$ are groupoid morphisms, then $\eta^{H \circ G} = (\eta^H G) \circ \eta^G$, the composition of the natural transformations (using whiskering). This kind of looks like the chain rule.
My question is - what sort of object is $F$? Is there some category-theoretic name for it?
I tried looking into 2-categories. $\mathbf{Cat}$ is the prototypical example - here, objects are categories, morphisms are functors, and 2-morphisms are natural transformations. $\mathbf{Grpd}$ works naturally as a subcategory of this. But in a sense, I want something "1 level down" - the objects here aren't really the groupoids, but the objects of the groupoids. The morphisms are just the morphisms within the groupoids, and the 2-morphisms would be the functors between groupoids. The natural transformations between functors don't really show up here. So I'm not sure if this is related to 2-categories or not.
EDIT: As suggested by @ZachGoldthorpe, I'll put some details of why I wanted to use $F$.
The fundamental groupoid can be shown to work as a functor $\pi_1 : \mathbf{Top} \to \mathbf{Grpd}$, which sends a topological space $X$ to the groupoid $\pi_1(X)$, where:
- The objects of $\pi_1(X)$ are pairs $(X, x_0)$ for a point $x_0 \in X$
- The morphisms of $\pi_1(X)$ are homotopy classes of paths $[\gamma] : (X, x_0) \to (X, x_1)$ for $\gamma$ a path connecting $x_0$ and $x_1$.
- Morphism composition is given by path concatenation, identity morphisms are constant paths, and inverse morphisms are given by "following the path backwards".
Additionally, it sends a continuous map $f : X \to Y$ to a functor $\pi_1(f) : \pi_1(X) \to \pi_1(Y)$ that:
- Takes in an object $(X, x_0) \in \text{ob}(\pi_1(X))$ and sends it to $(Y, f(x_0)) \in \text{ob}(\pi_1(Y))$.
- Takes in a morphism $[\gamma] : (X, x_0) \to (X, x_1)$ and sends it to $[f \circ \gamma] : (Y, f(x_0)) \to (Y, f(x_1))$.
The usefulness of $F$ comes from applying $\pi_1$ and then $F$:
- The objects $(X, x_0)$ of $\pi_1(X)$, under $F_{\pi_1(X)}$, become the fundamental groups $\pi_1(X, x_0)$ of $X$ with basepoint $x_0$
- The morphisms $[\gamma] : (X, x_0) \to (X, x_1)$ of $\pi_1(X)$ under $F_{\pi_1(X)}$ become the isomorphisms between fundamental groups $[\gamma]_{\#} : \pi_1(X, x_0) \to \pi_1(X, x_1)$ which sends a loop $[u] \in \pi_1(X, x_0)$ to the loop $[\gamma^{-1} . u . \gamma ] \in \pi_1(X, x_1)$. Note that path concatenation notation here means you follow $\gamma^{-1}$ first.
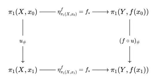
- The functors between groupoids $\pi_1(f) : \pi_1(X) \to \pi_1(Y)$ (from a continuous map $f : X \to Y$) become natural transformations $\eta^f$ which make the following diagrams commute:
Here $u$ is a (homotopy class of) path(s) connecting $x_0$ to $x_1$, with $f \circ u$ the corresponding path(s) connecting $f(x_0)$ and $f(x_1)$. And $f_*$ is the usual homomorphism from $\pi_1(X, x_0)$ to $\pi_1(Y, f(x_0))$ sending a homotopy class of loops $[\gamma]$ to $[f \circ \gamma]$.
This is recognised as the diagram that relates how the group homomorphism $f_*$ between the fundamental groups of $X$ and $Y$ play with the isomorphisms between fundamental groups at different basepoints via paths connecting the basepoints.
The properties of $F$ ensure that commutative squares of this type can be composed:
- Vertically, via composition of morphisms in $\pi_1(X), \pi_1(Y)$ combined with the fact that $F_{\pi_1(X)}, F_{\pi_1(Y)}$ are functors to $\mathbf{Grp}$
- Horizontally, by the consistency condition $\eta^{H \circ G} = (\eta^H G) \circ \eta^G$.
Indeed, the "horizontal" composition of such commutative squares expresses the fact that the fundamental group functor $\pi_1 : \mathbf{Top}^* \to \mathbf{Grp}$ sending a pointed topological space $(X, x_0)$ to $\pi_1(X, x_0)$ works as a functor - the morphisms of $\mathbf{Top}^*$ become precisely these natural transformation morphisms. In a sense, the fundamental group functor only cares about the "top edge" of the commutative square, and doesn't a priori know about the compatibility with paths.
