0

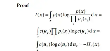
I am trying to understand the proof of this paper (page 2). I don't understand how

the term $d \textbf{u} $ comes about. I get that $c(\textbf{u}_x) = \frac{p(\textbf{x})}{\prod_i p_i(x_i)}$ but don't know how it changes from $d\textbf{x}$ to $d\textbf{u}_x$.

Can someone show me the derivation please ?I am trying to understand the math.

enter image description here

user1769197
  • 1,267

1 Answers1

1

The second to last equality is just an application of the change of variables formula. The original integral is performed with respect to ${\bf x}:= (x_1,x_2,\ldots,x_N)$ and we wish to change variables from $\bf x$ to ${\bf u}:=(u_1,\ldots,u_N)$ via the mapping $$u_1:=F_1(x_1),\quad u_2:=F_2(x_2),\quad\ldots,\quad u_N:= F_N(x_N).\tag1$$ By the change of variables formula, we can write $$\int h({\bf x})\,d{\bf x}=\int h({\bf x}({\bf u})){\left|{\det \left(\frac{\partial {\bf x}}{\partial{\bf u}}\right)}\right|}\,d{\bf u} = \int \frac{h({\bf x}({\bf u}))}{\left|{\det \left(\frac{\partial {\bf u}}{\partial{\bf x}}\right)}\right|}\,d{\bf u}.$$ For the mapping (1) the Jacobian determinant is easily seen to be $$\left|{\det \left(\frac{\partial {\bf u}}{\partial{\bf x}}\right)}\right|=\prod_{i=1}^N p_i(x_i), $$ which immediately yields the desired equality.

grand_chat
  • 40,909