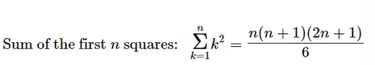
I am just learning about summations and their formulas. 
I would like to know the proof behind this formula in this example. It doesn't matter to me whether it is an intuitive one or a rigorous one. Thanks for all the help!
I am just learning about summations and their formulas. 
I would like to know the proof behind this formula in this example. It doesn't matter to me whether it is an intuitive one or a rigorous one. Thanks for all the help!