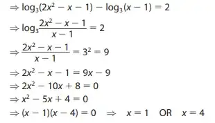
This is the equation I am supposed to solve: $$\log_{3}(2x^{2} - x-1)\ -\ \log_{3}(\ x-1)\ = 2$$ The textbook gives the solutions, $x=1, x=4$, with the working out as shown below:

While I understand what they are doing, I don't completely understand why they work it out as they do. Specifically, why isn't the term on the left side in the second row simplified? In my working out, $$\log_{3}\left(\frac{2x^{2} - x-1}{x-1}\right) \implies \log_{3}\left(\frac{(2x+1)(x-1)}{x-1}\right) \implies \log_{3}(2x+1)$$ This equals $2$, allowing it to be simplified further, \begin{align*} \: & \log_{3}(2x+1) = 2 \\ \implies \: & 2x+1 = 3^2 = 9 \\ \implies \: & 2x = 8 \\ \implies \: & x = 4 \\ \end{align*}
What's more, $x$ can't even equal $1$, because if it does, both logs simplify to $log(0)$, which is undefined. I am wondering if there is some other concept I am not aware of, or is the book making a mistake?