2

In Goldfeld’s book on automorphic forms on $GL(n)$, particularly while discussing the Rankin Selberg method for $GL(2)$ he write a formula for the “inner product” of two $K$ Bessel functions (shown below). However I am not able to find a proof of this fact. Any help would be greatly appreciated.

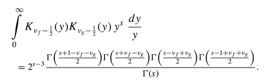
The Mellin transform of the product of two K Bessel functions

Thank you,

Krishnarjun
  • 1,021
  • 6
  • 15
  • See (7.10.2) in E. C. Titchmarsh's book Introduction to the Theory of Fourier Integrals. – Gary Sep 18 '21 at 14:06
  • Another general reference for this sort of this thing: Gradshteyn and Ryzhik's Table of Integrals, Series, and Products – Kimball Sep 18 '21 at 16:34
  • Thank you @Gary – Krishnarjun Sep 18 '21 at 16:35
  • Thank you @Kimball – Krishnarjun Sep 18 '21 at 16:36
  • 1
    @Kimball The OP is looking for a proof. Gradshteyn and Ryzhik does not have proofs. – Gary Sep 18 '21 at 17:45
  • @Gary I agree, but I'm saying it's a standard reference for integral formulas, and it gives references. – Kimball Sep 18 '21 at 18:00
  • @Gary To be fair, I was looking for a more hands on proof where the integral is evaluated using some techniques or substitutions. But nevertheless your reference led me to think about this problem in a new light. I don’t mind having another reference for such integral transforms which I can refer to later on. – Krishnarjun Sep 18 '21 at 18:08
  • I posted an evaluation here using an integral representation for the product of two Bessel $K$ functions. – Random Variable Apr 13 '23 at 17:01

1 Answers1

2

$$ \left( 1 \right) \int_0^{\infty}{I_a\left( x \right) K_b\left( x \right) x^{\nu -1}dx} \\ =\int_0^{\infty}{I_a\left( x \right) \left( \int_0^{\infty}{e^{-x\cosh t}\cosh btdt} \right) x^{\nu -1}dx} \\ =\int_0^{\infty}{\left( \int_0^{\infty}{I_a\left( x \right) x^{\nu -1}e^{-x\cosh t}dx} \right) \cosh btdt} \\ =\int_0^{\infty}{\left( \sum_{n=0}^{\infty}{\frac{1}{n!\Gamma \left( n+a+1 \right)}\left( \frac{1}{2} \right) ^{2n+a}}\int_0^{\infty}{x^{2n+a+\nu -1}e^{-x\cosh t}dx} \right) \cosh btdt} \\ =\int_0^{\infty}{\left( \sum_{n=0}^{\infty}{\frac{\Gamma \left( 2n+a+\nu \right)}{n!\Gamma \left( n+a+1 \right)}\left( \frac{1}{2} \right) ^{2n+a}}\left( \frac{1}{\cosh t} \right) ^{2n+a+\nu} \right) \cosh btdt} \\ =\sum_{n=0}^{\infty}{\frac{\Gamma \left( 2n+a+\nu \right)}{n!\Gamma \left( n+a+1 \right)}\left( \frac{1}{2} \right) ^{2n+a}}\int_0^{\infty}{\frac{\cosh bt}{\left( \cosh t \right) ^{2n+a+\nu}}dt} \\ \int_0^{\infty}{\frac{\cosh bt}{\left( \cosh t \right) ^{2n+a+\nu}}dt} \\ =\frac{1}{2}\int_0^{\infty}{\frac{e^{bt}+e^{-bt}}{\left( \cosh t \right) ^{2n+a+\nu}}dt} \\ =\frac{1}{2}\int_{-\infty}^{\infty}{\frac{e^{bt}}{\left( \cosh t \right) ^{2n+a+\nu}}dt} \\ =\frac{1}{2}\int_0^{\infty}{\frac{x^{b-1}}{\left( \frac{x+\frac{1}{x}}{2} \right) ^{2n+a+\nu}}dx}=2^{2n+a+\nu -1}\int_0^{\infty}{\frac{x^{2n+a+b+\nu -1}}{\left( x^2+1 \right) ^{2n+a+\nu}}dx} \\ =2^{2n+a+\nu -2}\int_0^{\infty}{\frac{x^{n+\frac{a+b+\nu}{2}-1}}{\left( t+1 \right) ^{2n+a+\nu}}dt} \\ =2^{2n+a+\nu -2}\frac{\Gamma \left( n+\frac{a+b+\nu}{2} \right) \Gamma \left( n+\frac{a-b+\nu}{2} \right)}{\Gamma \left( 2n+a+\nu \right)} \\ \int_0^{\infty}{I_a\left( x \right) K_b\left( x \right) x^{\nu -1}dx} \\ =\sum_{n=0}^{\infty}{\frac{\Gamma \left( 2n+a+\nu \right)}{n!\Gamma \left( n+a+1 \right)}\left( \frac{1}{2} \right) ^{2n+a}}\int_0^{\infty}{\frac{\cosh bt}{\left( \cosh t \right) ^{2n+a+\nu}}dt} \\ =\sum_{n=0}^{\infty}{\frac{\Gamma \left( 2n+a+\nu \right)}{n!\Gamma \left( n+a+1 \right)}\left( \frac{1}{2} \right) ^{2n+a}}2^{2n+a+\nu -2}\frac{\Gamma \left( n+\frac{a+b+\nu}{2} \right) \Gamma \left( n+\frac{a-b+\nu}{2} \right)}{\Gamma \left( 2n+a+\nu \right)} \\ =2^{\nu -2}\sum_{n=0}^{\infty}{\frac{\Gamma \left( n+\frac{a+b+\nu}{2} \right) \Gamma \left( n+\frac{a-b+\nu}{2} \right)}{n!\Gamma \left( n+a+1 \right)}} \\ =2^{\nu -2}\,\,\frac{\Gamma \left( \frac{a+b+\nu}{2} \right) \Gamma \left( \frac{a-b+\nu}{2} \right)}{\Gamma \left( a+1 \right)}\,\,_2F_1\left( \frac{a+b+\nu}{2},\frac{a-b+\nu}{2};a+1;1 \right) \\ =2^{\nu -2}\frac{\Gamma \left( \frac{a+b+\nu}{2} \right) \Gamma \left( \frac{a-b+\nu}{2} \right)}{\Gamma \left( a+1 \right)}\frac{\Gamma \left( a+1 \right) \Gamma \left( 1-\nu \right)}{\Gamma \left( 1+\frac{a-b-\nu}{2} \right) \Gamma \left( 1+\frac{a+b-\nu}{2} \right)} \\ =2^{\nu -2}\frac{\Gamma \left( \frac{a+b+\nu}{2} \right) \Gamma \left( \frac{a-b+\nu}{2} \right) \Gamma \left( 1-\nu \right)}{\Gamma \left( 1+\frac{a-b-\nu}{2} \right) \Gamma \left( 1+\frac{a+b-\nu}{2} \right)} \\ \left( 2 \right) \int_0^{\infty}{I_a\left( x \right) K_b\left( x \right) x^{\nu -1}dx}=2^{\nu -2}\frac{\Gamma \left( \frac{a+b+\nu}{2} \right) \Gamma \left( \frac{a-b+\nu}{2} \right) \Gamma \left( 1-\nu \right)}{\Gamma \left( 1+\frac{a-b-\nu}{2} \right) \Gamma \left( 1+\frac{a+b-\nu}{2} \right)} \\ \int_0^{\infty}{I_{-a}\left( x \right) K_b\left( x \right) x^{\nu -1}dx}=2^{\nu -2}\frac{\Gamma \left( \frac{-a+b+\nu}{2} \right) \Gamma \left( \frac{-a-b+\nu}{2} \right) \Gamma \left( 1-\nu \right)}{\Gamma \left( 1+\frac{-a-b-\nu}{2} \right) \Gamma \left( 1+\frac{-a+b-\nu}{2} \right)} \\ \int_0^{\infty}{K_a\left( x \right) K_b\left( x \right) x^{\nu -1}dx} \\ =\frac{\pi}{2}\frac{2^{\nu -2}\Gamma \left( 1-\nu \right)}{\sin a\pi}\left( \frac{\Gamma \left( \frac{-a+b+\nu}{2} \right) \Gamma \left( \frac{-a-b+\nu}{2} \right)}{\Gamma \left( 1+\frac{-a-b-\nu}{2} \right) \Gamma \left( 1+\frac{-a+b-\nu}{2} \right)}-\frac{\Gamma \left( \frac{a+b+\nu}{2} \right) \Gamma \left( \frac{a-b+\nu}{2} \right)}{\Gamma \left( 1+\frac{a-b-\nu}{2} \right) \Gamma \left( 1+\frac{a+b-\nu}{2} \right)} \right) \\ =\frac{\pi}{2}\frac{2^{\nu -2}\Gamma \left( 1-\nu \right)}{\sin a\pi}\left( \frac{\frac{\pi}{\sin \left( \frac{-a+b+\nu}{2} \right) \pi}\frac{\pi}{\sin \left( \frac{-a-b+\nu}{2} \right) \pi}-\frac{\pi}{\sin \left( \frac{a+b+\nu}{2} \right) \pi}\frac{\pi}{\sin \left( \frac{a-b+\nu}{2} \right) \pi}}{\Gamma \left( 1+\frac{-a-b-\nu}{2} \right) \Gamma \left( 1+\frac{-a+b-\nu}{2} \right) \Gamma \left( 1+\frac{a-b-\nu}{2} \right) \Gamma \left( 1+\frac{a+b-\nu}{2} \right)} \right) \\ =\frac{2^{\nu -3}\pi ^4\left( \sin \left( \frac{a+b+\nu}{2} \right) \pi \sin \left( \frac{a-b+\nu}{2} \right) \pi -\sin \left( \frac{-a+b+\nu}{2} \right) \pi \sin \left( \frac{-a-b+\nu}{2} \right) \pi \right)}{\Gamma \left( \nu \right) \sin \pi \nu \sin a\pi} \\ \times \frac{1}{\sin \left( \frac{a+b+\nu}{2} \right) \pi \sin \left( \frac{a-b+\nu}{2} \right) \pi \sin \left( \frac{-a+b+\nu}{2} \right) \pi \sin \left( \frac{-a-b+\nu}{2} \right) \pi} \\ \times \frac{1}{\Gamma \left( 1+\frac{-a-b-\nu}{2} \right) \Gamma \left( 1+\frac{-a+b-\nu}{2} \right) \Gamma \left( 1+\frac{a-b-\nu}{2} \right) \Gamma \left( 1+\frac{a+b-\nu}{2} \right)} \\ =\frac{2^{\nu -3}\pi ^4}{\Gamma \left( \nu \right) \sin \pi \nu \sin a\pi}\left( \frac{\cos b\pi -\cos \left( a+\nu \right) \pi -\cos b\pi +\cos \left( a-\nu \right) \pi}{2} \right) \\ \times \frac{\Gamma \left( \frac{a+b+\nu}{2} \right) \Gamma \left( \frac{a-b+\nu}{2} \right) \Gamma \left( \frac{-a+b+\nu}{2} \right) \Gamma \left( \frac{-a-b+\nu}{2} \right)}{\pi ^4} \\ =\frac{2^{\nu -3}}{\Gamma \left( \nu \right)}\Gamma \left( \frac{a+b+\nu}{2} \right) \Gamma \left( \frac{a-b+\nu}{2} \right) \Gamma \left( \frac{-a+b+\nu}{2} \right) \Gamma \left( \frac{-a-b+\nu}{2} \right) $$